产品目录
液体涡轮流量计
液体流量计
水流量计
油流量计
气体涡轮流量计
椭圆齿轮流量计
电磁流量计
涡街流量计
蒸汽流量计
孔板流量计
旋进旋涡流量计
热式气体质量流量计
转子流量计
浮子流量计
靶式流量计
气体流量计
超声波流量计
磁翻板液位计
浮子液位计
浮球液位计
玻璃管液位计
雷达液位计
超声波液位计
投入式液位计
压力变送器
差压变送器
液位变送器
温度变送器
热电偶
热电阻
双金属温度计
推荐产品
联系我们
- 金湖凯铭仪表有限公司
- 联系电话:15195518515
- 在线客服:1464856260
- 电话:0517-86801009
- 传真号码:0517-86801007
- 邮箱:1464856260@qq.com
- 网址:http://www.bhdmvez.cn
- 地址:江苏省金湖县理士大道61号
空气和高压天然气实流标定气体智能涡轮流量计的差异性
发布时间:2021-01-17 15:29:38??点击次数:2324次
摘要:随着天然气供求量的高速增长,**级天然气实流检定站的产能无法满足城市管网和地区输配气干线上中、高压天然气流量计的周期性检定的需求,大量涉及贸易结算的气体智能涡轮流量计只能被送至法定计量检定机构在常压空气下标定,对于其检定结论和校准数据是否适用则存在着争议。为此,分别在常压(0.1MPa)空气流量标准装置和德国**高压(2.5MPa和5MPa)天然气流量标准装置上对32台气体智能涡轮流量计进行了实流标定,引入气体智能涡轮流量计扩展校准模型,并基于雷诺数对误差作了对比分析。研究结果表明:
①常压和高压下的误差线分别位于两个不同的流动特征区域,不具有可比性;
②在分界流量以上区域,气体智能涡轮流量计的误差仅随雷诺数而变化;
③在各段压力工况中,存在着误差接近的雷诺数重叠区;
④工况压力增加,所对应的误差数据可以被认为是对气体智能涡轮流量计准确度性能的连续延拓;
⑤不同的工作介质对气体智能涡轮流量计的性能没有明显的影响。结论认为,常压空气下的标定数据不能用于0.4MPa以上工况流量计的检定和校准,在压力限制条件下使用空气标定高压天然气流量计是一种可行的方案。
引言
天然气是优质高效、绿色清洁的低碳能源,随着经济发展、能源消费增长和二氧化碳减排要求日趋严格,有效开发、利用天然气已经成为我国推进能源生产和消费革命的重要路径之一。预计到2020年我国天然气的表观消费量将超过3500×108m3,进口天然气量将超过1200×108m3。提高天然气贸易交接计量准确度是客观公正地维护贸易双方合法经济利益的关键。
气体智能涡轮流量计因其准确度高、重复性好、无零点漂移、抗干扰性强、量程范围宽的特点,被广泛用于天然气贸易交接,但其缺点之一是流体的物性对流量特性影响较大,不同介质、不同工况所导致的气体物性变化对气体智能涡轮流量计的准确度有影响;另一个缺点是不能长期保持校准特性,伴随着输气系统管道网络的大规模建设,必须定期对用于天然气贸易结算的流量计进行实流标定。
目前国内实流标定流量计主要有两种方式:
①以天然气为工作介质的直排方案,利用输气管线上游的自身压力和气量,在正压下标定流量计,之后工作介质进入低压管线或下游低压区;
②以空气为工作介质在常压下标定。为了尽可能接近天然气流量计的实际工况,我国建立了9个**石油天然气大流量计量站(截至2019年7月)用于解决高压天然气流量计的实流标定与量传溯源问题。然而,随着天然气供求的高速增长,上述**级天然气实流检定站的产能无法满足城市管网和地区输配气干线上中高压天然气流量计的周期性检定需求。大量涉及贸易结算、属强制检定范畴的气体智能涡轮流量计的准确性和有效性无法得到保证,只能送至法定计量检定机构在常压空气下标定。因此,气体智能涡轮流量计在不同介质、不同工况条件下的准确度差异受到了天然气工业和流量测量学术界的关注。特别是使用常压空气标定的数据结果或检定结论是否适用于天然气气体智能涡轮流量计存在争议。
1 实验工况条件
2015-2018年,某研究院对两家生产商共32台进口天然气气体智能涡轮流量计实施检定,流量计入关前都在德国**高压天然气流量标准装置(Pigsar)进行了实流标定,其中制造商A提供了8台DN200mm流量计(标定压力为2.1MPa),制造商B提供了10台DN150mm(标定压力为5MPa)和14台DN250mm流量计(其中7台在2.4MPa压力下标定,另7台在5MPa压力下标定)。Pigsar的主标准器是9台气体智能涡轮流量计,量程介于3~6500m3/h,装置的扩展不确定度(Urel)为0.12%(包含因子k为2),流量标准值是荷兰-法国-德国统一参考值(HarmonizedReferenceValue)。某研究院使用临界流文丘里喷嘴法气体流量标准装置,工作介质是常压空气,量程介于2~4500m3/h,Urel为0.16%(包含因子k为2),16个喷嘴溯源到中国计量科学研究院的pVTt法气体流量**基准。
尽管测量期较长,两个标准装置的工作介质和工况均比较稳定,天然气装置(Pigsar)的温度介于17~20℃,当工作压力介于2.3~2.4MPa时,天然气动力黏度(μ)为1.18×10-5Pa·s;当工作压力介于4.8~5.0MPa时,μ为1.28×10-5Pa·s。常压空气装置的温度介于19~21℃,实验室压力介于0.1003~0.1013MPa时,μ为1.81×10-5Pa·s。鉴于同一制造商相同口径流量计的型号规格相同,筛选出具有代表性的标定数据,绘制成体积流量-误差曲线,如图1所示。

同**量计在高压天然气装置与常压空气装置下的误差曲线存在差异,在分界流量点(qt)为0.2qmax以下时,常压空气下出现“驼峰区”,导致差异较大,驼峰点处非常大的差异达到0.7%。大口径(DN250mm)气体智能涡轮流量计在空气装置下的驼峰效应减弱,驼峰点处的差异减小。气体智能涡轮流量计在高压天然气下的体积流量-误差曲线基本呈现良好的线性趋势,特别是在5MPa时,线性特征显著。然而在常压空气工况下,某一类型的DN250mm流量计在驼峰点以下的误差随流量的减小急剧下降,导致高压天然气与常压空气的误差非常大差异出现在非常小流量点及其附近的始动流量区,非常大相差1.4%。从图
1所示的点对点误差对比来看,不同的流量计规格、不同工作压力下展现出来的两条误差曲线差异各不相同,有的差异并不大(0.1MPa空气和2.4MPa天然气的DN250mm流量计,差距甚至小于0.2%),有的差异超过1%,误差曲线的形状也完全不同,这样的数据对比会导致争议:根据常压空气下的标定结果能否判断流量计是否合格,标定的数据能否用于校准该流量计。因此,引入气体智能涡轮流量计扩展校准模型作进一步分析。
2 气体智能涡轮流量计扩展校准模型Lee等
研究了流体密度、黏度对气体智能涡轮流量计性能的影响,在此基础上,美国**标准与技术研究院的Pope等和Wright等扩展了Lee模型,研究了低雷诺数下气体智能涡轮流量计示值误差随工作介质运动黏度变化所呈现的扇形特征。该模型将基于角频率(ω,rad/s)的流量计仪表系数(Kω,rad/m3)表示为对理想流量计仪表系数(Ki,rad/m3)的修正,如下所示:
http://www.jssanchang.com/d/file/hangye/873410acf764b7bc2dec3e607983b612.jpg
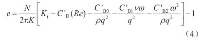
式中q表示体积流量,m3/s;ν表示介质的运动黏度,m2/s;雷诺数Re=4q/(πdν);d表示流量计口径,m;ρ表示介质的密度,kg/m3;C'D、C'B0、C'B1和C'B2分别表示4个待定系数,在某个流量点下标定出的仪表系数(Kf,表示单位体积流体通过流量计时,流量计输出的脉冲数,1/m3)和转子叶片频率(f,s-1)的关系为:

式中N表示转子叶片数。
设流量计出厂标称的仪表系数为K(1/m3),在该流量点下的示值误差为e,则有

由式(1) ~(3)可得 :

式(4)中括号所示的修正包括4个部分,从中括号内*二项开始依次为:①仅和雷诺数有关的流体阻力项;②轴承静态阻力项;③轴承黏性阻力项;④由于轴向推力和动态不平衡引起的轴承阻力项。于是修正项分成两部分:流体阻力项和轴承阻力项,流体阻力项在分界流量以上的区域起主要作用,且仅与雷诺数有关,在不同的运动黏度(例如改变工作介质)下测得的误差保持不变;轴承阻力项起主要作用的是分界流量以下的区域,因为阻力作用在转子上,转子受运动黏度的影响,所以在驼峰上升区,同一雷诺数下不同运动黏度的介质会导致误差的差异,在雷诺数-误差曲线上呈现扇形特征。
气体智能涡轮流量计是根据工况体积流量发出脉冲或频率,将雷诺数表达式代入式(4)可知,影响气体智能涡轮流量计准确度的相关特性是运动黏度,而不是动力黏度。即使工质的动力黏度相近,由于运动黏度的密度依赖性,特别是天然气(2.5MPa)与空气(0.1MPa)之间25倍的压力差,导致两个工况的雷诺数存在显著差异。所以,应当基于雷诺数,使两个工况下的误差对比符合流动相似准则的要求。
3 基于雷诺数的误差对比与分析
图2所示是上述气体智能涡轮流量计基于雷诺数的误差对比图,两条误差线分别处于两个不同的流动特征区域,并不具有可比性,而是反映了该流量计的准确度随雷诺数变化的情况。此外,由于流量计的体积流量量程范围一定而工况压力不同,常压雷诺数上限与高压雷诺数的下限存在间隔,且工况压力相差越小,间隔越小。随着间隔差距缩小,误差越来越接近,DN200mm和DN250mm(2.4MPa天然气)流量计的误差随雷诺数呈现几乎连续的变化,符合式(4)表征的物理意义,即:流体阻力项在分界流量以上的区域起主要作用,流量计示值误差仅与雷诺数有关。若上述间隔的雷诺数差距在可接受的范围内,则可以进行常压空气与高压天然气之间点对点的误差比较,但是受当前实验条件所限,图2所示的数据并不支持这样的对比。因此,增加了高压空气下的标定实验。一台经过常压空气标定的DN100mm气体智能涡轮流量计分别在德国一家企业的高压空气(1.6MPa、2.6MPa)环道(2~1600m3/h,Urel=0.20%,k=2)和德国**高压天然气流量标准装置(Pigsar,5.1MPa)进行标定,误差曲线如图3-a所示。
0.1MPa常压空气的上限和2.6MPa高压空气的下限雷诺数差距为2.72×104,两者对应的误差相差0.24%,小于两套装置的合成扩展不确定度0.25%。3个空气(0.1MPa、1.6MPa和2.6MPa)的测量结果出现两段雷诺数重叠,重叠区内误差仅有不到0.2%的差异。高压空气(2.6MPa)和高压天然气(5.1MPa)的部分误差数据在点对点比较中差异小于0.1%。图3-a中出现的数据段重叠,可以认为是流量计准确度性能的延拓。图3-a还表明,压力差异对流量计性能的影响显著,与之相较,不同工作介质引起的差异很小。
图3-b所示的是荷兰**计量研究院提供的DN250mm气体智能涡轮流量计在空气(0.1MPa,0.8MPa)和天然气(6.0MPa)下的测试数据,结果表明,流量计误差随雷诺数变化特征明显,误差在雷诺数介于2.72×104~3.14×105(常压空气-中压空气)和雷诺数介于(1.12~2.77)×106(中压空气-高压天然气)两段有较好的重叠与衔接,基于雷诺数重叠可以估计其他相近压力(或其他工作介质)的误差曲线,但是在量程范围以外,不能外推出误差。鉴于气体气体智能涡轮流量计性能受压力影响,GB/T21391-2008“用气体气体智能涡轮流量计测量天然气流量”和欧洲标准EN12261“气体智能涡轮流量计”特别强调:对用户规定的工作压力大于0.4MPa的流量计,需在一个或多个压力下进行校准。如果用户指定的工作压力范围的上限值小于或等于4倍的下限值,要求选定校准工作压力p1,使[0.5p1,2.0p1]覆盖用户指定的工作压力的上下限;当上限值大于下限值的4倍,需要增加一个压力试验点p2,且p1<p2,使[0.5p1,2.0p2]能够覆盖用户指定的工作压力的上下限。根据上述规定,如果用户指定这台DN250mm的气体智能涡轮流量计在0.8MPa和6.0MPa下工作,可以选定p1=1.6MPa和p2=3.0MPa作为校准工作压力,根据上述雷诺数重叠区域的误差数据衔接,可以估计该流量计在(0.8~6.0MPa)范围内的误差大小和变化趋势。
4 结束语
影响气体智能涡轮流量计准确度的相关特性是工作介质的运动黏度,由于运动黏度的密度依赖性,气体气体智能涡轮流量计的性能主要受到工况压力的影响。如果两个工况压力相差大于4倍,那么气体智能涡轮流量计在相应工况下的误差数据不具有可比性,所以常压下的标定结果不能反映该流量计在0.4MPa以上工况的计量性能,标定的数据也不能用于流量计的校准。在分界流量以上区域,气体智能涡轮流量计的误差仅随雷诺数变化,工况压力增加所对应的误差数据可以认为是对流量计准确度性能的连续延拓。因此,基于雷诺数重叠可以估计其他相近压力(或其他工作介质)的误差。
实验结果并没有发现不同的工作介质(例如天然气和空气)对气体智能涡轮流量计的性能有明显的影响,所以,在前述压力限制条件下,使用空气标定高压天然气流量计是一种可行的方案。目前**级天然气实流检定站都选址在主干线附近,需要有稳定的气源和低压天然气用户,且直排方案投资巨大。而闭环式高压空气流量标准装置具有以下优点:①不存在测试用气体的排放问题;②没有防爆问题的困扰;③流量调节、压力调节和更换气体等问题迎刃而解;④装置维持成本和能耗都比较低,因而计量技术机构已经开始这方面的研发工作,大批城市管网和地区输配气干线上中高压天然气流量计的量传溯源有望得到解决。
①常压和高压下的误差线分别位于两个不同的流动特征区域,不具有可比性;
②在分界流量以上区域,气体智能涡轮流量计的误差仅随雷诺数而变化;
③在各段压力工况中,存在着误差接近的雷诺数重叠区;
④工况压力增加,所对应的误差数据可以被认为是对气体智能涡轮流量计准确度性能的连续延拓;
⑤不同的工作介质对气体智能涡轮流量计的性能没有明显的影响。结论认为,常压空气下的标定数据不能用于0.4MPa以上工况流量计的检定和校准,在压力限制条件下使用空气标定高压天然气流量计是一种可行的方案。
引言
天然气是优质高效、绿色清洁的低碳能源,随着经济发展、能源消费增长和二氧化碳减排要求日趋严格,有效开发、利用天然气已经成为我国推进能源生产和消费革命的重要路径之一。预计到2020年我国天然气的表观消费量将超过3500×108m3,进口天然气量将超过1200×108m3。提高天然气贸易交接计量准确度是客观公正地维护贸易双方合法经济利益的关键。
气体智能涡轮流量计因其准确度高、重复性好、无零点漂移、抗干扰性强、量程范围宽的特点,被广泛用于天然气贸易交接,但其缺点之一是流体的物性对流量特性影响较大,不同介质、不同工况所导致的气体物性变化对气体智能涡轮流量计的准确度有影响;另一个缺点是不能长期保持校准特性,伴随着输气系统管道网络的大规模建设,必须定期对用于天然气贸易结算的流量计进行实流标定。
目前国内实流标定流量计主要有两种方式:
①以天然气为工作介质的直排方案,利用输气管线上游的自身压力和气量,在正压下标定流量计,之后工作介质进入低压管线或下游低压区;
②以空气为工作介质在常压下标定。为了尽可能接近天然气流量计的实际工况,我国建立了9个**石油天然气大流量计量站(截至2019年7月)用于解决高压天然气流量计的实流标定与量传溯源问题。然而,随着天然气供求的高速增长,上述**级天然气实流检定站的产能无法满足城市管网和地区输配气干线上中高压天然气流量计的周期性检定需求。大量涉及贸易结算、属强制检定范畴的气体智能涡轮流量计的准确性和有效性无法得到保证,只能送至法定计量检定机构在常压空气下标定。因此,气体智能涡轮流量计在不同介质、不同工况条件下的准确度差异受到了天然气工业和流量测量学术界的关注。特别是使用常压空气标定的数据结果或检定结论是否适用于天然气气体智能涡轮流量计存在争议。
1 实验工况条件
2015-2018年,某研究院对两家生产商共32台进口天然气气体智能涡轮流量计实施检定,流量计入关前都在德国**高压天然气流量标准装置(Pigsar)进行了实流标定,其中制造商A提供了8台DN200mm流量计(标定压力为2.1MPa),制造商B提供了10台DN150mm(标定压力为5MPa)和14台DN250mm流量计(其中7台在2.4MPa压力下标定,另7台在5MPa压力下标定)。Pigsar的主标准器是9台气体智能涡轮流量计,量程介于3~6500m3/h,装置的扩展不确定度(Urel)为0.12%(包含因子k为2),流量标准值是荷兰-法国-德国统一参考值(HarmonizedReferenceValue)。某研究院使用临界流文丘里喷嘴法气体流量标准装置,工作介质是常压空气,量程介于2~4500m3/h,Urel为0.16%(包含因子k为2),16个喷嘴溯源到中国计量科学研究院的pVTt法气体流量**基准。
尽管测量期较长,两个标准装置的工作介质和工况均比较稳定,天然气装置(Pigsar)的温度介于17~20℃,当工作压力介于2.3~2.4MPa时,天然气动力黏度(μ)为1.18×10-5Pa·s;当工作压力介于4.8~5.0MPa时,μ为1.28×10-5Pa·s。常压空气装置的温度介于19~21℃,实验室压力介于0.1003~0.1013MPa时,μ为1.81×10-5Pa·s。鉴于同一制造商相同口径流量计的型号规格相同,筛选出具有代表性的标定数据,绘制成体积流量-误差曲线,如图1所示。

同**量计在高压天然气装置与常压空气装置下的误差曲线存在差异,在分界流量点(qt)为0.2qmax以下时,常压空气下出现“驼峰区”,导致差异较大,驼峰点处非常大的差异达到0.7%。大口径(DN250mm)气体智能涡轮流量计在空气装置下的驼峰效应减弱,驼峰点处的差异减小。气体智能涡轮流量计在高压天然气下的体积流量-误差曲线基本呈现良好的线性趋势,特别是在5MPa时,线性特征显著。然而在常压空气工况下,某一类型的DN250mm流量计在驼峰点以下的误差随流量的减小急剧下降,导致高压天然气与常压空气的误差非常大差异出现在非常小流量点及其附近的始动流量区,非常大相差1.4%。从图
1所示的点对点误差对比来看,不同的流量计规格、不同工作压力下展现出来的两条误差曲线差异各不相同,有的差异并不大(0.1MPa空气和2.4MPa天然气的DN250mm流量计,差距甚至小于0.2%),有的差异超过1%,误差曲线的形状也完全不同,这样的数据对比会导致争议:根据常压空气下的标定结果能否判断流量计是否合格,标定的数据能否用于校准该流量计。因此,引入气体智能涡轮流量计扩展校准模型作进一步分析。
2 气体智能涡轮流量计扩展校准模型Lee等
研究了流体密度、黏度对气体智能涡轮流量计性能的影响,在此基础上,美国**标准与技术研究院的Pope等和Wright等扩展了Lee模型,研究了低雷诺数下气体智能涡轮流量计示值误差随工作介质运动黏度变化所呈现的扇形特征。该模型将基于角频率(ω,rad/s)的流量计仪表系数(Kω,rad/m3)表示为对理想流量计仪表系数(Ki,rad/m3)的修正,如下所示:
http://www.jssanchang.com/d/file/hangye/873410acf764b7bc2dec3e607983b612.jpg
式中q表示体积流量,m3/s;ν表示介质的运动黏度,m2/s;雷诺数Re=4q/(πdν);d表示流量计口径,m;ρ表示介质的密度,kg/m3;C'D、C'B0、C'B1和C'B2分别表示4个待定系数,在某个流量点下标定出的仪表系数(Kf,表示单位体积流体通过流量计时,流量计输出的脉冲数,1/m3)和转子叶片频率(f,s-1)的关系为:

式中N表示转子叶片数。
设流量计出厂标称的仪表系数为K(1/m3),在该流量点下的示值误差为e,则有

由式(1) ~(3)可得 :

式(4)中括号所示的修正包括4个部分,从中括号内*二项开始依次为:①仅和雷诺数有关的流体阻力项;②轴承静态阻力项;③轴承黏性阻力项;④由于轴向推力和动态不平衡引起的轴承阻力项。于是修正项分成两部分:流体阻力项和轴承阻力项,流体阻力项在分界流量以上的区域起主要作用,且仅与雷诺数有关,在不同的运动黏度(例如改变工作介质)下测得的误差保持不变;轴承阻力项起主要作用的是分界流量以下的区域,因为阻力作用在转子上,转子受运动黏度的影响,所以在驼峰上升区,同一雷诺数下不同运动黏度的介质会导致误差的差异,在雷诺数-误差曲线上呈现扇形特征。
气体智能涡轮流量计是根据工况体积流量发出脉冲或频率,将雷诺数表达式代入式(4)可知,影响气体智能涡轮流量计准确度的相关特性是运动黏度,而不是动力黏度。即使工质的动力黏度相近,由于运动黏度的密度依赖性,特别是天然气(2.5MPa)与空气(0.1MPa)之间25倍的压力差,导致两个工况的雷诺数存在显著差异。所以,应当基于雷诺数,使两个工况下的误差对比符合流动相似准则的要求。
3 基于雷诺数的误差对比与分析
图2所示是上述气体智能涡轮流量计基于雷诺数的误差对比图,两条误差线分别处于两个不同的流动特征区域,并不具有可比性,而是反映了该流量计的准确度随雷诺数变化的情况。此外,由于流量计的体积流量量程范围一定而工况压力不同,常压雷诺数上限与高压雷诺数的下限存在间隔,且工况压力相差越小,间隔越小。随着间隔差距缩小,误差越来越接近,DN200mm和DN250mm(2.4MPa天然气)流量计的误差随雷诺数呈现几乎连续的变化,符合式(4)表征的物理意义,即:流体阻力项在分界流量以上的区域起主要作用,流量计示值误差仅与雷诺数有关。若上述间隔的雷诺数差距在可接受的范围内,则可以进行常压空气与高压天然气之间点对点的误差比较,但是受当前实验条件所限,图2所示的数据并不支持这样的对比。因此,增加了高压空气下的标定实验。一台经过常压空气标定的DN100mm气体智能涡轮流量计分别在德国一家企业的高压空气(1.6MPa、2.6MPa)环道(2~1600m3/h,Urel=0.20%,k=2)和德国**高压天然气流量标准装置(Pigsar,5.1MPa)进行标定,误差曲线如图3-a所示。
0.1MPa常压空气的上限和2.6MPa高压空气的下限雷诺数差距为2.72×104,两者对应的误差相差0.24%,小于两套装置的合成扩展不确定度0.25%。3个空气(0.1MPa、1.6MPa和2.6MPa)的测量结果出现两段雷诺数重叠,重叠区内误差仅有不到0.2%的差异。高压空气(2.6MPa)和高压天然气(5.1MPa)的部分误差数据在点对点比较中差异小于0.1%。图3-a中出现的数据段重叠,可以认为是流量计准确度性能的延拓。图3-a还表明,压力差异对流量计性能的影响显著,与之相较,不同工作介质引起的差异很小。
图3-b所示的是荷兰**计量研究院提供的DN250mm气体智能涡轮流量计在空气(0.1MPa,0.8MPa)和天然气(6.0MPa)下的测试数据,结果表明,流量计误差随雷诺数变化特征明显,误差在雷诺数介于2.72×104~3.14×105(常压空气-中压空气)和雷诺数介于(1.12~2.77)×106(中压空气-高压天然气)两段有较好的重叠与衔接,基于雷诺数重叠可以估计其他相近压力(或其他工作介质)的误差曲线,但是在量程范围以外,不能外推出误差。鉴于气体气体智能涡轮流量计性能受压力影响,GB/T21391-2008“用气体气体智能涡轮流量计测量天然气流量”和欧洲标准EN12261“气体智能涡轮流量计”特别强调:对用户规定的工作压力大于0.4MPa的流量计,需在一个或多个压力下进行校准。如果用户指定的工作压力范围的上限值小于或等于4倍的下限值,要求选定校准工作压力p1,使[0.5p1,2.0p1]覆盖用户指定的工作压力的上下限;当上限值大于下限值的4倍,需要增加一个压力试验点p2,且p1<p2,使[0.5p1,2.0p2]能够覆盖用户指定的工作压力的上下限。根据上述规定,如果用户指定这台DN250mm的气体智能涡轮流量计在0.8MPa和6.0MPa下工作,可以选定p1=1.6MPa和p2=3.0MPa作为校准工作压力,根据上述雷诺数重叠区域的误差数据衔接,可以估计该流量计在(0.8~6.0MPa)范围内的误差大小和变化趋势。
4 结束语
影响气体智能涡轮流量计准确度的相关特性是工作介质的运动黏度,由于运动黏度的密度依赖性,气体气体智能涡轮流量计的性能主要受到工况压力的影响。如果两个工况压力相差大于4倍,那么气体智能涡轮流量计在相应工况下的误差数据不具有可比性,所以常压下的标定结果不能反映该流量计在0.4MPa以上工况的计量性能,标定的数据也不能用于流量计的校准。在分界流量以上区域,气体智能涡轮流量计的误差仅随雷诺数变化,工况压力增加所对应的误差数据可以认为是对流量计准确度性能的连续延拓。因此,基于雷诺数重叠可以估计其他相近压力(或其他工作介质)的误差。
实验结果并没有发现不同的工作介质(例如天然气和空气)对气体智能涡轮流量计的性能有明显的影响,所以,在前述压力限制条件下,使用空气标定高压天然气流量计是一种可行的方案。目前**级天然气实流检定站都选址在主干线附近,需要有稳定的气源和低压天然气用户,且直排方案投资巨大。而闭环式高压空气流量标准装置具有以下优点:①不存在测试用气体的排放问题;②没有防爆问题的困扰;③流量调节、压力调节和更换气体等问题迎刃而解;④装置维持成本和能耗都比较低,因而计量技术机构已经开始这方面的研发工作,大批城市管网和地区输配气干线上中高压天然气流量计的量传溯源有望得到解决。
相关资讯
- 气体涡轮流量计安装直管段要求
- 气体涡轮流量计的结构与工作原理
- 气体涡轮流量计的产品特点和适用范围
- 气体涡轮流量计选型指南与外形尺寸
- 气体涡轮流量计使用环境
- 气体涡轮流量计使用注意事项
- 气体涡轮流量计怎么清洗
- 气体涡轮流量计适用范围
- 气体涡轮流量计为什么要加油
- 气体涡轮流量计波动大解决办法
- 气体涡轮流量计安装距离要求
- 气体涡轮流量计安装注意事项
- 气体涡轮流量计应用范围
- 气体涡轮流量计常见故障有哪些
- 提高气体涡轮流量计精度的方法
- 气体涡轮流量计精度等级
- 气体涡轮流量计的技术参数
- 气体涡轮流量计不准原因
- 气体涡轮流量计的优缺点
- 气体涡轮流量计的用途
- 气体涡轮流量计接线图
- 气体涡轮流量计种类
- 用气体涡轮流量计测量天然气流量
- 气体涡轮流量计的优点
- 气体涡轮流量计使用方法
- 气体涡轮流量计的选型表
- 气体涡轮流量计结构图
- 影响气体涡轮流量计测量精度的因素及措施
- 气体涡轮流量计维护保养
- 气体涡轮流量计特点

