产品目录
液体涡轮流量计
液体流量计
水流量计
油流量计
气体涡轮流量计
椭圆齿轮流量计
电磁流量计
涡街流量计
蒸汽流量计
孔板流量计
旋进旋涡流量计
热式气体质量流量计
转子流量计
浮子流量计
靶式流量计
气体流量计
超声波流量计
磁翻板液位计
浮子液位计
浮球液位计
玻璃管液位计
雷达液位计
超声波液位计
投入式液位计
压力变送器
差压变送器
液位变送器
温度变送器
热电偶
热电阻
双金属温度计
推荐产品
联系我们
- 金湖凯铭仪表有限公司
- 联系电话:15195518515
- 在线客服:1464856260
- 电话:0517-86801009
- 传真号码:0517-86801007
- 邮箱:1464856260@qq.com
- 网址:http://www.bhdmvez.cn
- 地址:江苏省金湖县理士大道61号
低温液体流量计
- 品*:JKM/凯铭仪表
- 型号:JKM-BS
- 测量范围:0.1~55800m3/h
- 精度等级:0.5级、1.0级
- 公称通径:DN15-DN2000
- 适用介质:液体,气体
- 工作压力:0.6~42MPa
- 工作温度:-200~+500℃
- 供电方式:24VDC 3.6V锂电池
- 订货号:VMJ301862WUD
低温液体流量计概述
1、工作原理
当介质在测量管中流动时,因其自身的动能通过阻流件(靶片)时而产生的压差,并对阻流件有一作用力,其作用力的大小与介质流速的平方成正比。阻流件(靶片)接受的作用力F,经刚性连接的传递件(测杆)传至双电容传感器,双电容传感器产生电容差经高精度AD芯片进行处理,直接输出数字信号,由此,通过AD转换及计算机处理后,即可得到相应的瞬时流量和累积总量,其工作原理见示意(图1):

2、结构
电容式靶式流量计主要由测量管(外壳)、双电容传感器(含阻流元件)、积算显示和输出部分组成。根据不同的介质和工况,必须选用相适应的双电容传感器,因此,用户提供准确的计量对象及参数,生产厂家选用合适的电容力传感器是产品能否计量准确的关键。其结构如右(图2):

3、特点
1.采用大屏液晶显示,可同时显示多组参量,读数更直观;
2.整台仪表在设计中无可动部件,插入式结构,拆卸方便;
3.可选用多种防腐及耐高低温材质(如哈氏合金,钛等);
4.整机可做成全密封无死角(焊接形式),无任何泄漏点,可耐42MPa高压;
5.仪表内设自检程序,故障现象一目了然;
6.传感器不与被测介质接触,不存在零部件磨损,使用安全可靠;
7.具有多种安装方式供选择,如选择在线插入式,安装费用低;
8.具有一体化温度、压力补偿,直接输出质量或标方;
9.具有可选小信号切除、非线性修正、滤波时间可选择;
10.能准确测量各种常温、高温500度、低温-200度工况下的气体、液体流量;
11.计量准确,精度可达到0.2%;
12.重复性好,一般为0.05~0.08%,测量快递;
13.压力损失小,仅为标准孔板的1/2△P左右;
14.抗干扰,抗杂质能力特强;
15.可根据实际需要更换阻流件(靶片)而改变流量范围;
16.安装简单方便,*易维护;
17.多种输出形式,能远传各种参数;
18.抗震动性强,一定范围内可测脉动流。

4、技术指标

5、外形及尺寸



连接短管及法兰公称直径气体采用DN100mm,液体采用DN50mm,法兰规格采用国标1.6MPa、2.5MPa、4.0MPa,密封面形式RF。
4.连接法兰规格
a、法兰规格:公称压力0.6MPa~42.0MPa;
b、法兰尺寸主要采用**标准GB/T系列,并可采用化工行业标准HG系列、机械行业标准JB/T系列,也可协商提供按照客户要求的法兰。
低温液体流量计的安装及要求
1.流量计的安装
高温型(80度至500度)、常温型(-30度至70度)、低温型(-200度至-40度)
a.常温型、低温型、高温型流量计视不同工况采用水平、垂直或倒置式安装(以出厂效验单为准);
b.介质工作温度在300度以上时,用户应对流量计壳体采取隔热措施防止热辐射损坏表头(表头工作温度为-30至70度),同理工作温度-100度以下的介质,也要采取防冻措施;
c.为保证流量计准确计量,要求设置前后直管段;(图8)
d.为保证流量计在检查及更换时不影响系统工作,应尽量设置旁通阀(3)及切断阀(1、2);(图8)
e.因工艺需要可采用垂直安装,被测介质流向可由下至上,也可由上至下,但订购时应向供货方说明;
f.流量计口径与相连的管道口径尺寸尽量相同,以减少流动干扰,造成计量误差;
g.法兰式和夹装式流量计安装时,应注意法兰之间密封垫片内孔尺寸大于流量计和工艺管道通径6-8mm及否同轴,以避免因其产生干扰流而影响计量精确度;
h.插入式流量计安装时,将短管及法兰焊到管道上时必须确保流体正对着靶片受力面,焊接短管高度在100mm(从管道内壁至法兰密封面的距离);(图9)
i.对于新完工的工艺管道,应先进行初步吹扫后再安装流量计;
j.测量管外壁上箭头所指方向为被测介质流向;
k.流量计壳体必须可靠接地,若无接地条件应向厂方说明;
l.流量计连接法兰规格执行GB/T系列标准,也可以根据用户要求特殊加工(以出厂效验单为准)。

1、2、3分别为前后阀和旁通阀;4为流量计,L≥10D和L≥5D分别为前后直管段长度,D为管道公称直径。

2.流量计设置零点
注:(流量计安装后必须先进置零操作)
由于电容式力传感器及阻流件有自重,在流量计安装时不在水平方位状况下,需要重新设置流量计零点。
操作程序为:(也可在管道内无介质流动时直接置零,高温型及低温型流量计必须使管道内温度达到工作温度后置零)

a.关闭流量计下游的阀门;
b.缓慢打开流量计上游阀门,使流量计充满介质;
c.缓慢打开流量计下游阀门,使流量计运行10分钟左右;
d.关闭流量计上、下游阀门,并确定管道内流量为零;
e.用白纸或手指按在“ZERO”位置不小于3S;见(图10)

7、注意事项
不允许直接在流量计测量管前后端安装阀门、弯头等*大改变流体流态的部件。
如果需要在流量计前后管道上安装阀门、弯头等部件也应尽量保证前后直管段长度。
8、接线
a、24V供电型
1.24V供电型流量可具备多种输出方式,
a.电流输出:4~20mA;电源:16-32VDC,二线制;
b.脉冲输出:0~1000Hz;内阻1000Ω;电源:16-32VDC;10mA(带背光20mA);
c.RS485接口:电源:16-32VDC;10mA(带背光20mA);
d.电流输出+HART:4~20mA;电源:16-32VDC,二线制;
2.电流输出特性(图4)

以上图中Imin为流量计*小显示流量所对应的电流输出值,其输出值的大小为:

同理:可计算出满量程输出范围内任-输出电流及对应流量值。
3.0~1000HZ脉冲输出特性(图5)

4.仪表接线
a.流量计信号输出线电气连接口规格为:M20×1.5
b.4~20mA电流输出为二线制(图6)
c.脉冲输出为三线制(图7)

b、3.6V电池供电型
3.6V电池供电型的流量计,无法显示电池的容量,当电池电压越来越低时,显示会慢慢变模糊,应**更换电池。更换电池应为相同技术参数的电池,我公司电池可使用两年。(可向我厂咨询或购买)
为提高电池的使用时间,可通过修改滤波系数LP参数,该值设置越大,则代表可以使用更长时间,但流量计采集速度将会变慢。
低温液体流量计检定
每台流量计出厂时均经过严格的检定,但在使用中因环境的变化,安装条件的差异,尤其是在被测介质与原检定介质相差甚大的条件下,流量计在计量过程中会出现相应的示值误差,需要对其进行重新检定。用户在对流量计进行检定时可按以下两种方法进行:
1.电容式靶式流量计实流检定
电容式靶式流量计在检定过程中可参照速度流量计检定规程进行,动态流量检定和总量检定。如果在检定过程中,流量计出现误差,参照《仪表误差修正方法》中的方法和步骤。
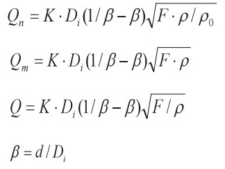
2.干式检定,即采用砝码挂重法
在采用干式法检定时,*先根据以下公式计算出各流量点作用于阻流件(靶)上的力F

式中:Qm--质量瞬时流量(kg/h);Qn--标准状态体积瞬时流量(Nm3/h);Q--体积瞬时流量(m3/h);
K--流量系数;Di--流量计内径(mm);F--介质作用于阻流件(靶)上的力(Kg);
ρ--被测介质的工况密度(Kg/m3);ρo--标准状态下的介质密度(Kg/m3);
β--靶径比;d--阻流件(靶)直径;
上式中系数K由生产厂家提供,用户可利用公式依次计算出仪表流量范围内瞬时流量Q与介质作用于阻流件上的力F间相对应的关系值,从而对仪表进行标定。挂砝码方法:
a.*先将流量计垂直固定住不动(相当重要),将流量计靶片受力面向上保证靶片水平;
b.在保持流量计静止状态下清零,用细绳子拴住所计算出的砝码重量挂在靶片的中心点上,砝码垂直于靶片中心点下。这时观看表头瞬时流量值(环境不得有振动及风),并记录下,再根据所算出的标准瞬时流量值进行流量系数修正,方法见《仪表误差修正方法》。
c.周期检定的流量计可向厂家查询出厂挂砝码记录。
d.满量程的100%、75%、50%、35%、10%挂重三个点或五个点就可知流量计线性与测量范围。
e.此砝码挂重法用于带温压补偿式流量计时应配合压力计和电阻箱方可进行。

低温液体流量计危险场所安装和防爆型产品的注意事项
电容式靶式流量计(以下简称流量计)防爆型产品,经**防爆电气产品质量监督检验中心(CQST)检验,符合GB3836.1-2000 GB3836.1-2000《爆炸性气体环境用电气设备 *1部分:通用要求》,GB3836.2-2000 GB3836.2-2000《爆炸性气体环境用电气设备 *2部分:隔爆型“d”》及GB3836.4-2000《爆炸性气体环境用电气设备 *4部分:本质安全型“i”》标准规定的要求,产品防爆标志为ExdⅡCT4、ExiaⅡCT4。
1.流量计在下列环境条件下应能正常工作
a.大气气压:86~106KPa
b.周围环境温度:-20℃~+60℃(8oF-140oF)
c.周围环境相对湿度:≤95%RH(+25℃)
d.隔爆型流量计可适用于含有ⅡA、ⅡB、ⅡC级T1~T4组爆炸性气体混合物的1区、2区的危险场所;
e.本安型流量计可适用于含有ⅡA、ⅡB、ⅡC级T1~T4组爆炸性气体混合物的0区、1区、2区的危险场所;
2.用户在安装使用流量计时应注意下列事项
(安装前须进行下列各项检查,如不符合要求,则不准投入使用)
a.有防爆标志和防爆合格证编号,并与电容式靶式流量计的使用场所要求一致;
b.隔爆外壳各零部件联接正确,紧固可靠;
c.所有隔爆零件应无裂纹和影响隔爆性能的缺陷;
d.用户在使用流量计时应可靠接地;
e.隔爆型产品在现场使用,维护时必须遵守“严禁带电开盖”的原则;拆装时,注意?;じ舯婧吐菸聘舯娌坏每呐龊突恕?/div>
f.用户不得自行随意更换产品的电气元件及系统配接状态;
g.隔爆型产品的引入电缆*小外径为Φ6mm;
h.产品有冗余引入口,必须用我公司提供的堵头堵封。
i.防爆产品使用一定周期后,必须更换老化件。如电缆引入装置密封圈老化变质时应及时更换,我公司有配件,须在我公司购买。
3.本安型防爆产品还应注意
a.本产品符合GB3836.1-2000《爆炸性气体环境用电气设备 *1部分:通用要求》、GB3836.4-2000《爆炸性气体环境用电气设备 *4部分:本质安全型“i”》标准,防爆标志为:ExiaⅡCT4,它适用于0区、1区、2区,含有ⅡA~ⅡC类爆炸性气体混合物场所。
b.本安参数:Ui=28VDC,Ii=93mA,Po=0.65W,Ci=0.045uF,Li=0.33mH;
c.产品安装应按照GB3836.15-2000《爆炸性气体环境用电气设备 *15部分:危险场所电气安装(煤矿除外)》的有关规定进行。并由专业人员负责安装。经过防爆认证合格的产品。不允许随意更换或改动影响防爆性能的元器件和结构。
d.本产品必须与取得防爆合格证安全栅同时使用,安全栅须装在安全场所,其安装、使用、维护必须遵守安全栅使用说明书;
e.当产品用于连接爆炸性环境0区的本安型产品时,向安全栅供电的电源变压器须符合GB3836.4-2000标准*8.1条款要求。
f.本安系统接线(图11)

g.安全场所[Exia]ⅡC 危险场所 ExiaⅡCT4
h.本安系统参数都必须遵循如下匹配原则:Uo≤Ui;Io≤Ii;Po≤Pi;Cc≤Co-Ci;Lc≤Lo-Li
Cc、Lc:安全栅到本安产品之间连接电缆(或导线)允许总的*大分布电容和电感,Uo:安全栅的*高输出电压,Io:安全栅的*大输出电流,Po:安全栅的*大输出功率,Lo:安全栅允许的*大外部电感,Co:安全栅允许的*大外部电容;Ui:本安产品的*高输入电压,Ii:本安产品的*大输入电流,Pi:本安产品的*大输入功率,Li:本安产品的*大内部电感,Ci:本安产品的*大内部电容。符号详细意义见GB3836.4-2000标准。
低温液体流量计常见故障及排查
(流量计带故障自检程序,用户通过显示屏可查知部分原因?。?/div>
1.当管道内被测介质流速为零时,流量计示值瞬时流量值不为零,造成该现象的主要原因有:
a.安装前后流量计水平度不一致,以至靶片和靶杆因倾斜而产生轴向水平分力导致瞬时流量存在;
b.流量计长期运行,其传感器内部应力释放产生微变;
c.安装或运行过程中,严重过载造成零点漂移;
以上三种方式均可参照有关流量计清零的步骤和方法处理。
d.流量计壳体接地不良;
处理方法:用户重新接地。
e.靶片、靶杆与测具之间被杂物卡?。?/div>
处理方法:关闭流量计前后阀门,用工具松开流量计过度部件与测量管之间的连接螺栓,并轻轻的晃动过渡部件或取出,清理杂物后照原样复位即可。
2.流量计工作过程中示值出现非正常增大,造成该现象的主要原因有:
a.靶片以及靶杆上挂有丝状及带状杂物;
处理方法:参照处理杂物方法。
b.高结垢条件下,靶片和靶杆产生严重结垢,使受力元件靶板沿测量管轴线上投影面积增加,即靶片与测量管之间环形过流面积减少,进而在相同流量下,传感器受力增大,*终导致流量示值非正常增加;
处理方法:取下过渡部件,用工具将靶片和靶杆以及测量管内壁上的圬物清除即可。
3.计量误差大,造成该现象的原因很多,其*主要的原因为以下几种:
a.安装时流量计与连接管道相对同心度出现较大错位,密封垫片未同心,从而形成节流阻件,*大影响被测介质流态;
处理方法:调整安装状态。
b.流量计前后直管段太短,并于流量计前直接安装了弯头,阀门等*大干扰被测介质流态部件;
处理方法:按照说明书要求进行安装或对流量计进行实地实流标定。
c.旁通管道泄漏;
处理方法:检查及更换旁通管路。
d.靶片上绕缠有带状杂物,增大了靶片受力;
处理方法:参照前面处理杂物方法。
4.流量计无示值或无发信号,其原因主要有以下四种:
a.电源接触不良或脱落;
处理方法:对于自带电池的流量计,检查电池是否装稳,触点是否良好,以及电池是否有电。对于外接电源,应检查连接导线之间连接是否完好,导线是否导通,外供电源是否正常。
b.流量计电路损坏;
处理方法:返厂修理。
c.显示屏损坏;
处理方法:返厂更换。
d.用户信号接收系统故障;
处理方法:检查、排除故障。
5.流量计运行过程中示值一直为零,此种现象主要原因有:
a.受力元件(靶片)脱落,导致传感器无力感应;
处理方法:装配相同规格的靶片。
b.流量计传感器无电压输出信号;
处理方法:*先判断传感器是否损坏,具体的方法是看传感器数据有无变化。
c.被测介质流量太小,低于流量计的*小刻度流量;
处理方法:返厂重新更换受力元件。
特别提示
1.更换电池
自带电池供电的流量计,显示屏出现模糊时,提示用户电池电量将用尽。更换电池应为相同技术参数的电池,我公司流量计采用低功耗设计,电池根据不同工况及电池自身情况下可使用一至四年。
2.环境要求
流量计使用环境温度为-30度至70度,尽管自身有相当的防护等级,对安装在室外的流量仪表要加以相应遮雨及防碰撞措施。

