产品目录
液体涡轮流量计
液体流量计
水流量计
油流量计
气体涡轮流量计
椭圆齿轮流量计
电磁流量计
涡街流量计
蒸汽流量计
孔板流量计
旋进旋涡流量计
热式气体质量流量计
转子流量计
浮子流量计
靶式流量计
气体流量计
超声波流量计
磁翻板液位计
浮子液位计
浮球液位计
玻璃管液位计
雷达液位计
超声波液位计
投入式液位计
压力变送器
差压变送器
液位变送器
温度变送器
热电偶
热电阻
双金属温度计
推荐产品
联系我们
- 金湖凯铭仪表有限公司
- 联系电话:15195518515
- 在线客服:1464856260
- 电话:0517-86801009
- 传真号码:0517-86801007
- 邮箱:1464856260@qq.com
- 网址:http://www.bhdmvez.cn
- 地址:江苏省金湖县理士大道61号
卡箍式涡轮流量计在油水气三相计量中应用研究
发布时间:2020-12-22 09:24:24??点击次数:2437次
油井三相流的分离分相计量精度主要是受气液分离程度和含水率计精度的影响。提出利用同轴线相位法环空找水仪和卡箍式涡轮流量计的响应函数来控制气液分离, 其控制是基于神经网络的自校正控制。含水率测量选用高精度的同轴线相位法含水率计, 这满足了油井三相流的精确计量要求。
在油田生产过程参数 (如温度、压力等) 检测中, 以流量和各相持率测量非常为复杂, 是较难测量的两个参数, 引起了工程技术人员的兴趣。随着油田的发展, 被测对象不再局限于单相流, 而要对多相流、混合状态的流量进行测量。测量多相流的技术难度要比单相流体的精确测量大的多, 知道单相流体的密度、粘度及测量装置的几何结构, 便可以对单相流进行定量分析。如果能利用多相流中每一相的上述各物理量对多相流进行测量的话, 就很方便。但很遗憾的是, 多相流体的特性远比单相流体的特性复杂的多, 如各组分之间不能均匀混合、混合流体的异常性、流型转变, 相对速度、流体性质、管道结构、流动方向等因素将导致涡轮流量传感器响应特性的改变。
在单相流的条件下, 涡轮的转速和流经它的体积流量成一单值线性函数, 在油水两相流中, 只要流量超过始动流量, 在允许的误差范围内, 涡轮的响应和体积流量也是成线性函数。
但在多相流动中, 即使在总流量保持不变的情况下, 混合流体的密度发生变化, 也会引起涡轮转速的很大变化。混合流体经过气液分离后, 利用成熟的单相流测量技术和相分率测量技术计量, 因此计量的不确定度主要受气液分离程度的影响?;诖? 提出利用同轴线含水率计和卡箍式涡轮流量计的响应函数混合控制气液分离器方法。
1 工作原理
卡箍式涡轮流量计是一速度式流量计, 它通过测定流体中涡轮的转速来反映流量的大小。在管道中心放置一个涡轮, 当流体通过管道时冲击涡轮叶片, 对涡轮产生驱动力矩, 使涡轮克服阻力矩而产生旋转。在一定流量、黏度范围内的流体介质中, 涡轮的旋转角速度与流体的流速成正比。因此, 流体的流速可以通过涡轮的旋转角速度求得, 进而通过换算可得出通过管道的流体流量。气液两相流时, 由于相比液相的速度高, 所以测量结果增大。同轴线相位法环空找水仪是通过测量电磁波在油水混合介质中传播的相位差来测量含水率。当有气的时候, 气液混合介质的介电常数的增大, 使得同轴线相位法环空找水仪的响应值比液体的时候, 下降很多。当气液分离完全的时候, 它的响应值就又上升到纯液的时候的值, 据此判定, 气液分离完全。
气在气液分离时利用卡箍式涡轮流量计和同轴线相位法环空找水仪的响应函数来控制气液分离器将很好的减小测量的误差。
神经网络的自校正控制, 没有参考模型, 而依靠在线递推识别 (参数估计) 估计系统未知的参数, 以此来在线控制设计算法进行实时反馈控制。设单输入单输出线性系统为

式中:yk-1为对象输出;uk为控制器输出。
f (·) 和g (·) 未知, BP神经网络通过学习算法可以逼近这些函数并重新自校正控制规律, 为简单起见, 设被控制对象为一阶系统, 即

通过神经网络利用模型得

去逼近对象模型, 其中W=W[W0, W1, ……, W2P], V=[V0, V1, ……, V2q], 且有

相应的控制规律为

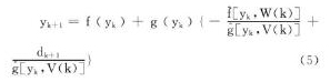
将式 (4) 代入式 (3) 可得

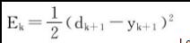
使得定义的输出误

为非常小, 于是有:小, 于是有:


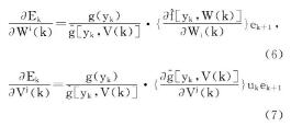
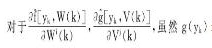
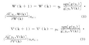
未知, 但其符号已知, 可用sgn[g (yk) ]代替g (yk) , 这样就可以得到调整W (k) 和V (k) 的学习规则为

式中:ηk, μk分别为学习效率。
2 应用实例
水气模拟环路中, 以清水模拟油井产出液, 以空气模拟油井的分离气。通过调节标准流量涡轮获得标准流量。标准流量的水和一定量的气体混合, 即得到混合液?;旌弦和ü掷胱爸? 经分离, 即可得到分离后的水的流量。在试验中, 当含水率计的响应值为全水值时, 即表示分离完全, 且实验选用的含水率计的全水值为4500Hz。神经网络的结构选4-5-3, 学习速率ηk=0.78, μk=0.64, 加权系数初始值取区间[-0.5, 0., 5]上的随机数。输入指令信号为采样得到的一路同轴线相位法找水率计信号, 输出信号取卡箍式涡轮流量计的信号。
3 结束语
通过同轴线相位法含水率计和卡箍式涡轮流量计的响应函数来控制气液分离, 可以实时监测调整, 基本达到完全分离的目的。
基于神经网络的自校正控制, 可以有效的实现对气液分离的实时控制。
此方法效果好, 现已在现场应用, 前景广阔。
在油田生产过程参数 (如温度、压力等) 检测中, 以流量和各相持率测量非常为复杂, 是较难测量的两个参数, 引起了工程技术人员的兴趣。随着油田的发展, 被测对象不再局限于单相流, 而要对多相流、混合状态的流量进行测量。测量多相流的技术难度要比单相流体的精确测量大的多, 知道单相流体的密度、粘度及测量装置的几何结构, 便可以对单相流进行定量分析。如果能利用多相流中每一相的上述各物理量对多相流进行测量的话, 就很方便。但很遗憾的是, 多相流体的特性远比单相流体的特性复杂的多, 如各组分之间不能均匀混合、混合流体的异常性、流型转变, 相对速度、流体性质、管道结构、流动方向等因素将导致涡轮流量传感器响应特性的改变。
在单相流的条件下, 涡轮的转速和流经它的体积流量成一单值线性函数, 在油水两相流中, 只要流量超过始动流量, 在允许的误差范围内, 涡轮的响应和体积流量也是成线性函数。
但在多相流动中, 即使在总流量保持不变的情况下, 混合流体的密度发生变化, 也会引起涡轮转速的很大变化。混合流体经过气液分离后, 利用成熟的单相流测量技术和相分率测量技术计量, 因此计量的不确定度主要受气液分离程度的影响?;诖? 提出利用同轴线含水率计和卡箍式涡轮流量计的响应函数混合控制气液分离器方法。
1 工作原理
卡箍式涡轮流量计是一速度式流量计, 它通过测定流体中涡轮的转速来反映流量的大小。在管道中心放置一个涡轮, 当流体通过管道时冲击涡轮叶片, 对涡轮产生驱动力矩, 使涡轮克服阻力矩而产生旋转。在一定流量、黏度范围内的流体介质中, 涡轮的旋转角速度与流体的流速成正比。因此, 流体的流速可以通过涡轮的旋转角速度求得, 进而通过换算可得出通过管道的流体流量。气液两相流时, 由于相比液相的速度高, 所以测量结果增大。同轴线相位法环空找水仪是通过测量电磁波在油水混合介质中传播的相位差来测量含水率。当有气的时候, 气液混合介质的介电常数的增大, 使得同轴线相位法环空找水仪的响应值比液体的时候, 下降很多。当气液分离完全的时候, 它的响应值就又上升到纯液的时候的值, 据此判定, 气液分离完全。
气在气液分离时利用卡箍式涡轮流量计和同轴线相位法环空找水仪的响应函数来控制气液分离器将很好的减小测量的误差。
神经网络的自校正控制, 没有参考模型, 而依靠在线递推识别 (参数估计) 估计系统未知的参数, 以此来在线控制设计算法进行实时反馈控制。设单输入单输出线性系统为

式中:yk-1为对象输出;uk为控制器输出。
f (·) 和g (·) 未知, BP神经网络通过学习算法可以逼近这些函数并重新自校正控制规律, 为简单起见, 设被控制对象为一阶系统, 即

通过神经网络利用模型得

去逼近对象模型, 其中W=W[W0, W1, ……, W2P], V=[V0, V1, ……, V2q], 且有

相应的控制规律为

将式 (4) 代入式 (3) 可得

使得定义的输出误

为非常小, 于是有:小, 于是有:


未知, 但其符号已知, 可用sgn[g (yk) ]代替g (yk) , 这样就可以得到调整W (k) 和V (k) 的学习规则为

式中:ηk, μk分别为学习效率。
2 应用实例
水气模拟环路中, 以清水模拟油井产出液, 以空气模拟油井的分离气。通过调节标准流量涡轮获得标准流量。标准流量的水和一定量的气体混合, 即得到混合液?;旌弦和ü掷胱爸? 经分离, 即可得到分离后的水的流量。在试验中, 当含水率计的响应值为全水值时, 即表示分离完全, 且实验选用的含水率计的全水值为4500Hz。神经网络的结构选4-5-3, 学习速率ηk=0.78, μk=0.64, 加权系数初始值取区间[-0.5, 0., 5]上的随机数。输入指令信号为采样得到的一路同轴线相位法找水率计信号, 输出信号取卡箍式涡轮流量计的信号。
3 结束语
通过同轴线相位法含水率计和卡箍式涡轮流量计的响应函数来控制气液分离, 可以实时监测调整, 基本达到完全分离的目的。
基于神经网络的自校正控制, 可以有效的实现对气液分离的实时控制。
此方法效果好, 现已在现场应用, 前景广阔。
相关资讯
- 卡箍式涡轮流量计常见故障及合理保养传感器部件
- 卡箍式涡轮流量计的安装
- 如何保证卡箍式涡轮流量计的使用寿命
- 卡箍式液体涡轮流量计与流量积算仪如何正确地配合使用的方法
- 卡箍式液体涡轮流量计机械故障解决方法
- 对卡箍式液体涡轮流量计准确度产生影响的三个因素
- 食品级涡轮流量计厂家
- 食品级涡轮流量计
- 卡箍式涡轮流量计
- 卡箍式涡轮流量计,涡轮流量计仪表
- 快装式涡轮流量计在现场使用中常见的几个问题及解决办法
- 快装式涡轮流量计在现场使用中常见的8个问题及解决办法
- 基于涡轮流量传感器的快装式涡轮流量计选型设计
- 卡箍式涡轮流量计,智能涡轮流量计厂家
- 卡箍式涡轮流量计,螺纹涡轮流量计
- 浅谈如何有效提升卡箍式液体涡轮流量计使用的精度系数
- 卡箍式涡轮流量计在水泥浆流量测量中的应用
- 卡箍式涡轮流量计输出信号的研究与应用
- 卡箍式涡轮流量计在油水气三相计量中应用研究
- 关于卡箍式涡轮流量计的分类及区分其优缺点分析

