产品目录
液体涡轮流量计
液体流量计
水流量计
油流量计
气体涡轮流量计
椭圆齿轮流量计
电磁流量计
涡街流量计
蒸汽流量计
孔板流量计
旋进旋涡流量计
热式气体质量流量计
转子流量计
浮子流量计
靶式流量计
气体流量计
超声波流量计
磁翻板液位计
浮子液位计
浮球液位计
玻璃管液位计
雷达液位计
超声波液位计
投入式液位计
压力变送器
差压变送器
液位变送器
温度变送器
热电偶
热电阻
双金属温度计
推荐产品
联系我们
- 金湖凯铭仪表有限公司
- 联系电话:15195518515
- 在线客服:1464856260
- 电话:0517-86801009
- 传真号码:0517-86801007
- 邮箱:1464856260@qq.com
- 网址:http://www.bhdmvez.cn
- 地址:江苏省金湖县理士大道61号
探究数显涡轮流量表在人造丝生产中的应用
发布时间:2020-12-22 09:23:19??点击次数:2268次
我厂年产3000吨人造长丝。原设计粘胶年时间运行,收到了较好的效果。计量为椭圆齿轮流量计。由于压力损失过大。
数显涡轮流量表是利用电磁感应原理制成的在投产没多久就取掉了。现我们选用了开封流量计。压力损失小。不易堵塞。输出信号仪表厂生产的Dmag型数显涡轮流量表二经一仅与流体平均流速有关。与粘度、密度、温度等无关,测量精度高。现将我厂所用流量计介绍如下:
一、数显涡轮流量表的选型:粘胶粘度为4aP·5。比重为L12。班道过滤后的粘胶经DglOO的管道送人纺丝,该流量计安装于过滤后的送胶管路上。
1.变送器口径的选择:
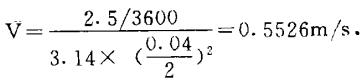
数显涡轮流量表要求流体流速在。5米/秒以上。我厂粘胶长丝年产量在3000吨左右,南北纺区粘胶瞬时流量为2.5m3h/。若选择通径DN为40毫米的流量计。平均流速满足要求。

2.考虑粘胶具有一定腐蚀性和长期稳定运行的需要。衬里材料选择聚四氟乙烯·电*材料选择哈氏合金B。
3.选择分离型,配数字型转换器。
二、数显涡轮流量表的安装:
1.未加旁路。流量计直接安装于主管路上。
因传感器部分主要由测量导管、电*、励磁线圈、铁芯等组成,该部分不易出故障。若接于旁路管上。粘胶在一定时间内会凝固。操作工每天需定时开启阀1.会带来:①粘胶计量不准确。②操作会更麻烦。
2.变送器在安装时,传感器上游侧至少应有5倍管径长度的直管段,传感器下游侧应有2倍管径长度的直管段。直管段后*好为渐缩管,其圆锥角不应大于15。
3.为了提高整个系统的抗干扰能力。变送器与转换器间需用屏蔽电缆连接,信号电缆两边的外露部分需保持*短。该电缆必须远离动力电缆。
4.流量计测量导管的金属管体和粘胶应同为地电位、接地系统的接地电阻应小于10n。
三、数显涡轮流量表的投运:

四、运行情况:
两台数显涡轮流量表已运行了一年时间,运转良好。误差在允许范围以内。该数字转换器具有瞬时流量显示和累积流量显示。不仅给总厂成本核算提供了一个准确的数据,也给脱泡间操作工带来了很大的方便。流量计投人运行没多久的一天中午,北纺的瞬时流量达到4.17m,h/。原计划纺3个小时的粘胶.现1.5个小时就会纺完,有了该表的准确显示。未造成纺丝断头的重大事故。
数显涡轮流量表是利用电磁感应原理制成的在投产没多久就取掉了。现我们选用了开封流量计。压力损失小。不易堵塞。输出信号仪表厂生产的Dmag型数显涡轮流量表二经一仅与流体平均流速有关。与粘度、密度、温度等无关,测量精度高。现将我厂所用流量计介绍如下:
一、数显涡轮流量表的选型:粘胶粘度为4aP·5。比重为L12。班道过滤后的粘胶经DglOO的管道送人纺丝,该流量计安装于过滤后的送胶管路上。
1.变送器口径的选择:
数显涡轮流量表要求流体流速在。5米/秒以上。我厂粘胶长丝年产量在3000吨左右,南北纺区粘胶瞬时流量为2.5m3h/。若选择通径DN为40毫米的流量计。平均流速满足要求。

2.考虑粘胶具有一定腐蚀性和长期稳定运行的需要。衬里材料选择聚四氟乙烯·电*材料选择哈氏合金B。
3.选择分离型,配数字型转换器。
二、数显涡轮流量表的安装:
1.未加旁路。流量计直接安装于主管路上。
因传感器部分主要由测量导管、电*、励磁线圈、铁芯等组成,该部分不易出故障。若接于旁路管上。粘胶在一定时间内会凝固。操作工每天需定时开启阀1.会带来:①粘胶计量不准确。②操作会更麻烦。
2.变送器在安装时,传感器上游侧至少应有5倍管径长度的直管段,传感器下游侧应有2倍管径长度的直管段。直管段后*好为渐缩管,其圆锥角不应大于15。
3.为了提高整个系统的抗干扰能力。变送器与转换器间需用屏蔽电缆连接,信号电缆两边的外露部分需保持*短。该电缆必须远离动力电缆。
4.流量计测量导管的金属管体和粘胶应同为地电位、接地系统的接地电阻应小于10n。
三、数显涡轮流量表的投运:

四、运行情况:
两台数显涡轮流量表已运行了一年时间,运转良好。误差在允许范围以内。该数字转换器具有瞬时流量显示和累积流量显示。不仅给总厂成本核算提供了一个准确的数据,也给脱泡间操作工带来了很大的方便。流量计投人运行没多久的一天中午,北纺的瞬时流量达到4.17m,h/。原计划纺3个小时的粘胶.现1.5个小时就会纺完,有了该表的准确显示。未造成纺丝断头的重大事故。

