产品目录
液体涡轮流量计
液体流量计
水流量计
油流量计
气体涡轮流量计
椭圆齿轮流量计
电磁流量计
涡街流量计
蒸汽流量计
孔板流量计
旋进旋涡流量计
热式气体质量流量计
转子流量计
浮子流量计
靶式流量计
气体流量计
超声波流量计
磁翻板液位计
浮子液位计
浮球液位计
玻璃管液位计
雷达液位计
超声波液位计
投入式液位计
压力变送器
差压变送器
液位变送器
温度变送器
热电偶
热电阻
双金属温度计
推荐产品
联系我们
- 金湖凯铭仪表有限公司
- 联系电话:15195518515
- 在线客服:1464856260
- 电话:0517-86801009
- 传真号码:0517-86801007
- 邮箱:1464856260@qq.com
- 网址:http://www.bhdmvez.cn
- 地址:江苏省金湖县理士大道61号
啤酒涡轮流量计,啤酒流量计生产厂家
发布时间:2020-11-24 01:51:22??点击次数:2146次
啤酒涡轮流量计产品特点
1、测量管内无可活动部件,传感器使用寿命长。
2、管内无阻力部件,因此没有附加压力损失,不会产生阻塞,测量可靠。
3、抗干扰能力强、体积小、重量轻、安装方便、维护量小、测量范围宽。
4、测量不受流体温度、密度、压力、粘稠度、电导率等变化的影响。
5、可在老管道上截取改造安装,施工简单,工程量小。
6、与一般流量计的成本和安装费用低,特别适合大中口径管道流量的测量。
7、传感器感应电压信号与平均流速呈线性关系,因此测量精度高。
8、中文LCD显示器,显示累积流量,瞬时流量、流速、流量百分比等。
9、可测量液固两相流,高粘度液流及盐类、强酸、强碱液体的体积流量。

啤酒涡轮流量计技术参数
1、仪表精度:管道式0.5级、1.0级;插入式2.5级
2、测量介质:电导率大于5μS/cm的各种液体和液固两相流体。
3、流速范围:0.2~8m/s
4、工作压力:1.6MPa
5、环境温度:-40℃~+50℃
6、介质温度:聚四氟乙烯衬里≤180℃;橡胶材质衬里≤65℃
7、防爆标志:ExmibdⅡBT4
8、防爆证号:GYB01349
9、外磁干扰:≤400A/m
10、外壳防护:一体化型:IP65;
11、分离型:传感器IP68(水下5米,**于橡胶衬里);转换器IP65
12、输出信号:4~20mA.DC,负载电阻0~750Ω
13、通讯输出:RS485或CAN总线
14、电气连接:M20×1.5内螺纹,φ10电缆孔
15、电源电压:90~220V.AC、24±10%V.DC
16、功耗:≤10VA
啤酒涡轮流量计安装地点的选择
为了使电磁流量计工作稳定可靠,在选择安装地点时应注意以下几方面的要求:
1.尽量避开铁磁性物体及具有强电磁场的设备(大电机、大变压器等),以免磁场影响传感器的工作磁场和流量信号。
2.应尽量安装在干燥通风之处,避免日晒雨淋,环境温度应在-20~+60℃,相对湿度小于85%。
3.流量计周围应有充裕的空间,便于安装和维护。
安装建议
流量计的测量原理不依赖流量的特性,如果管路内有一定的湍流与漩涡产生在非测量区内(如:弯头、切向限流或上游有半开的截止阀)则与测量无关。如果在测量区内有稳态的涡流则会影响测量的稳定性和测量的精度,这时则应采取一些措施以稳定流速分布:
a. 增加前后直管段的长度;
b. 采用一个流量稳定器;
c. 减少测量点的截面。
水平和垂直安装
传感器可以水平和垂直安装,但是应该确保避免沉积物和气泡对测量电*的影响,电*轴向保持水平为好。垂直安装时,流体应自下而上流动。
传感器不能安装在管道的*高位置,这个位置容易积聚气泡。
确保满管安装
确保流量传感器在测量时,管道中充满被测流体,不能出现非满管状态。 如管道存在非满管或是出口有放空状态,传感器应安装在一根虹吸管上。
弯管、阀门和泵之间的安装
为保证测量的稳定性,应在传感器的前后设置直管段,其长度由下图给出。如做不到则应采用稳流器或减小测量点的截面积。
传感器不能安装在泵的进水口
为避免负压,传感器不能安装在泵的进水口,而应安装在泵的出水口。
传感器的进口直管段和出口直管段
比较理想的安装地点应选择测量点前后有足够的直管段。进口直管段应≥5D,出口直管段≥3D(D为传感器公称口径)。
插入式进口直管段应≥ 20 D , 出口直管段≥7D(D为传感器公称口径)。

啤酒涡轮流量计的测量原理
根据法拉*电磁感应定律,当一导体在磁场中运动切割磁力线时,在导体的两端将产生感应电动势e,其方向由右手定则确定,其大小与磁场的磁感应强度B,导体在磁场内的有效长度L及导体 垂直于磁场的运动速度u成正比。如果B、L、u三者互相垂直,则
e=BLu
与此相似,如果在磁感应强度为B的均匀磁场中,垂直于磁场方向放一个内径为D的不导磁管道,当导电液体在管道中以流速u运动时,导电液体就切割磁力线,如果在管道截面上垂直于磁场的 直径两侧安装一对电*(如图所示)

,则可以证明,只要管道内流速分布为与轴对称分布,则两电*间将产生感生电势
e=κBDū
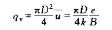
式中,ū是管道截面上的平均流速(m/s);κ是常系数,无量纲;D是测量管直径(m);B是磁感应强度(T)。
由此可得通过管道的体积流量

由上式可知,当测量管结构一定时,体积流量qν与比值e/B成正比,面与流体的状态和物性参数无关,测量比值e/B即可得到体积流量值qν。当磁感应强度B为恒定值时,体积流量qν与感生 电势e成正比。B是直流磁场或正弦波交流磁场或其它类型磁场的磁感应强度。它由流量计的励磁系统提供。励磁系统可以给电磁流量传感器提供多种形式的磁场波形。不同的磁场波形,直接决定了电磁 流量传感器工作磁场的特征,也基本上决定了流量计流量信号的处理方法,对流量计的工作性能有很大的影响。所以,自电磁流量计进入商用化以来,励磁方式始终是人们研究的热点问题。从开始应用的直流励磁到现在双频方波励磁,已使用过多种方式的励磁技术。
啤酒涡轮流量计内衬材料的选择
应根据被测介质的腐蚀性磨损性和温度来选择内衬材料

啤酒涡轮流量计电*的选择
应根据被测流体的腐蚀性来选择电*的材料,请查有关手册,对于特殊流体应作腐蚀性试验

1、测量管内无可活动部件,传感器使用寿命长。
2、管内无阻力部件,因此没有附加压力损失,不会产生阻塞,测量可靠。
3、抗干扰能力强、体积小、重量轻、安装方便、维护量小、测量范围宽。
4、测量不受流体温度、密度、压力、粘稠度、电导率等变化的影响。
5、可在老管道上截取改造安装,施工简单,工程量小。
6、与一般流量计的成本和安装费用低,特别适合大中口径管道流量的测量。
7、传感器感应电压信号与平均流速呈线性关系,因此测量精度高。
8、中文LCD显示器,显示累积流量,瞬时流量、流速、流量百分比等。
9、可测量液固两相流,高粘度液流及盐类、强酸、强碱液体的体积流量。

啤酒涡轮流量计技术参数
1、仪表精度:管道式0.5级、1.0级;插入式2.5级
2、测量介质:电导率大于5μS/cm的各种液体和液固两相流体。
3、流速范围:0.2~8m/s
4、工作压力:1.6MPa
5、环境温度:-40℃~+50℃
6、介质温度:聚四氟乙烯衬里≤180℃;橡胶材质衬里≤65℃
7、防爆标志:ExmibdⅡBT4
8、防爆证号:GYB01349
9、外磁干扰:≤400A/m
10、外壳防护:一体化型:IP65;
11、分离型:传感器IP68(水下5米,**于橡胶衬里);转换器IP65
12、输出信号:4~20mA.DC,负载电阻0~750Ω
13、通讯输出:RS485或CAN总线
14、电气连接:M20×1.5内螺纹,φ10电缆孔
15、电源电压:90~220V.AC、24±10%V.DC
16、功耗:≤10VA
啤酒涡轮流量计安装地点的选择
为了使电磁流量计工作稳定可靠,在选择安装地点时应注意以下几方面的要求:
1.尽量避开铁磁性物体及具有强电磁场的设备(大电机、大变压器等),以免磁场影响传感器的工作磁场和流量信号。
2.应尽量安装在干燥通风之处,避免日晒雨淋,环境温度应在-20~+60℃,相对湿度小于85%。
3.流量计周围应有充裕的空间,便于安装和维护。
安装建议
流量计的测量原理不依赖流量的特性,如果管路内有一定的湍流与漩涡产生在非测量区内(如:弯头、切向限流或上游有半开的截止阀)则与测量无关。如果在测量区内有稳态的涡流则会影响测量的稳定性和测量的精度,这时则应采取一些措施以稳定流速分布:
a. 增加前后直管段的长度;
b. 采用一个流量稳定器;
c. 减少测量点的截面。
水平和垂直安装
传感器可以水平和垂直安装,但是应该确保避免沉积物和气泡对测量电*的影响,电*轴向保持水平为好。垂直安装时,流体应自下而上流动。
传感器不能安装在管道的*高位置,这个位置容易积聚气泡。
确保满管安装
确保流量传感器在测量时,管道中充满被测流体,不能出现非满管状态。 如管道存在非满管或是出口有放空状态,传感器应安装在一根虹吸管上。
弯管、阀门和泵之间的安装
为保证测量的稳定性,应在传感器的前后设置直管段,其长度由下图给出。如做不到则应采用稳流器或减小测量点的截面积。
传感器不能安装在泵的进水口
为避免负压,传感器不能安装在泵的进水口,而应安装在泵的出水口。
传感器的进口直管段和出口直管段
比较理想的安装地点应选择测量点前后有足够的直管段。进口直管段应≥5D,出口直管段≥3D(D为传感器公称口径)。
插入式进口直管段应≥ 20 D , 出口直管段≥7D(D为传感器公称口径)。

啤酒涡轮流量计的测量原理
根据法拉*电磁感应定律,当一导体在磁场中运动切割磁力线时,在导体的两端将产生感应电动势e,其方向由右手定则确定,其大小与磁场的磁感应强度B,导体在磁场内的有效长度L及导体 垂直于磁场的运动速度u成正比。如果B、L、u三者互相垂直,则
e=BLu
与此相似,如果在磁感应强度为B的均匀磁场中,垂直于磁场方向放一个内径为D的不导磁管道,当导电液体在管道中以流速u运动时,导电液体就切割磁力线,如果在管道截面上垂直于磁场的 直径两侧安装一对电*(如图所示)

,则可以证明,只要管道内流速分布为与轴对称分布,则两电*间将产生感生电势
e=κBDū
式中,ū是管道截面上的平均流速(m/s);κ是常系数,无量纲;D是测量管直径(m);B是磁感应强度(T)。
由此可得通过管道的体积流量

由上式可知,当测量管结构一定时,体积流量qν与比值e/B成正比,面与流体的状态和物性参数无关,测量比值e/B即可得到体积流量值qν。当磁感应强度B为恒定值时,体积流量qν与感生 电势e成正比。B是直流磁场或正弦波交流磁场或其它类型磁场的磁感应强度。它由流量计的励磁系统提供。励磁系统可以给电磁流量传感器提供多种形式的磁场波形。不同的磁场波形,直接决定了电磁 流量传感器工作磁场的特征,也基本上决定了流量计流量信号的处理方法,对流量计的工作性能有很大的影响。所以,自电磁流量计进入商用化以来,励磁方式始终是人们研究的热点问题。从开始应用的直流励磁到现在双频方波励磁,已使用过多种方式的励磁技术。
啤酒涡轮流量计内衬材料的选择
应根据被测介质的腐蚀性磨损性和温度来选择内衬材料

啤酒涡轮流量计电*的选择
应根据被测流体的腐蚀性来选择电*的材料,请查有关手册,对于特殊流体应作腐蚀性试验

上一篇:甲醇流量计量表,甲醇用什么流量计下一篇:卫生级纯水流量计,纯水流量计价格

