产品目录
液体涡轮流量计
液体流量计
水流量计
油流量计
气体涡轮流量计
椭圆齿轮流量计
电磁流量计
涡街流量计
蒸汽流量计
孔板流量计
旋进旋涡流量计
热式气体质量流量计
转子流量计
浮子流量计
靶式流量计
气体流量计
超声波流量计
磁翻板液位计
浮子液位计
浮球液位计
玻璃管液位计
雷达液位计
超声波液位计
投入式液位计
压力变送器
差压变送器
液位变送器
温度变送器
热电偶
热电阻
双金属温度计
推荐产品
联系我们
- 金湖凯铭仪表有限公司
- 联系电话:15195518515
- 在线客服:1464856260
- 电话:0517-86801009
- 传真号码:0517-86801007
- 邮箱:1464856260@qq.com
- 网址:http://www.bhdmvez.cn
- 地址:江苏省金湖县理士大道61号
关于液氮流量计的基本原理分析介绍
发布时间:2020-09-01 09:11:42??点击次数:2446次
液氮流量计的基本原理
当通电后的某一固定面积中的磁通量一旦发生变化,此时便会在两个电*处产生电位差,从而便产生了感生电动势,而这正是液氮流量计的基本工作原理。感生电动势与回路相交磁通量**间变化的变化率呈现出正相关的关系。而感生电动势一旦产生就必须要满足楞次定律。楞次定律表现为感生电动势与其产生的电流时刻在阻碍回路中磁通Φ的变化。假设感生电动势为Ei ,则:

从下图 2.1 中科了解到流体通过的管道在时刻切割磁力线,一旦流体通过管道就可产生感生电动势,感生电动势所产生的方向和磁场方向满足弗莱明右手定律,具体的方向可参考下图 2.2 中所示内容。


产生的感生电动势大小为:

式中:
B--磁场磁感应强度 T;
A--磁通量发生变化时所形成的面积2m ;
D--管道直径,m;
dl--流体通过距离,m;
v--运动速度,m/s;
Ei--产生的感生电动势,V。
从(2.2)所表示的式子中可以了解到感生电动势与流速、磁场大小、管道直径三个因子之间呈现出正相关的关系。
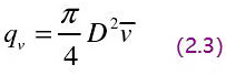
将装有导电液的管道放置在磁场中,此时流动的导电液可被视为导体本身的运动,并加入两个电*,此时电*、管道就形成了一个完整的回路,从而将产生感生电动势。可计算通过管道流体的体积,主要计算公式如下:

带入式(2.2),可得:

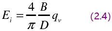
则:

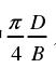
由式(2.5)所列出的式子中可以明显的观察到感生电动势和流体体积之间呈现出明显的线性关系,且其线性关系中并不受其它因素的影响。式中

只是一个测量系数,而在此系数中也存在明显的线性关系,其中当管道直径 D 发生改变时,磁感应强度 B 将会呈现出与之相反的变现,如此才能保证测量系数的稳定。在液氮流量计的使用中通?;嵫≡裢ü髡绱鸥杏η慷?B 来维持励磁电流的稳定,但若是使用线性恒流源进行励磁电流的?;な毙枰⒁?,此时的线性恒流源不能轻易更改其电流的大小。
上述的式子可以简单的表示液氮流量计工作原理,电磁感应原理的基本工作状态,但针对具体的电磁变化情况,上述式子无法完全诠释,实际的电磁变化情况远比式中分析的电磁远动复杂[。液氮流量计在工作的过程中并非只利用了电磁感应原理,还利用到了较多的数学公式,除此之外还有流体力学的参与,因此液氮流量计的工作原理十分繁琐复杂,但在本文的研究中主要以其硬件的设计和开发为主,为了能更直观便捷的了解到液氮流量计的工作原理,将其进行简化,在此种简化的基础上,上述式子中的工作原理便可成立。
当通电后的某一固定面积中的磁通量一旦发生变化,此时便会在两个电*处产生电位差,从而便产生了感生电动势,而这正是液氮流量计的基本工作原理。感生电动势与回路相交磁通量**间变化的变化率呈现出正相关的关系。而感生电动势一旦产生就必须要满足楞次定律。楞次定律表现为感生电动势与其产生的电流时刻在阻碍回路中磁通Φ的变化。假设感生电动势为Ei ,则:

从下图 2.1 中科了解到流体通过的管道在时刻切割磁力线,一旦流体通过管道就可产生感生电动势,感生电动势所产生的方向和磁场方向满足弗莱明右手定律,具体的方向可参考下图 2.2 中所示内容。


产生的感生电动势大小为:

式中:
B--磁场磁感应强度 T;
A--磁通量发生变化时所形成的面积2m ;
D--管道直径,m;
dl--流体通过距离,m;
v--运动速度,m/s;
Ei--产生的感生电动势,V。
从(2.2)所表示的式子中可以了解到感生电动势与流速、磁场大小、管道直径三个因子之间呈现出正相关的关系。
将装有导电液的管道放置在磁场中,此时流动的导电液可被视为导体本身的运动,并加入两个电*,此时电*、管道就形成了一个完整的回路,从而将产生感生电动势。可计算通过管道流体的体积,主要计算公式如下:

带入式(2.2),可得:

则:

由式(2.5)所列出的式子中可以明显的观察到感生电动势和流体体积之间呈现出明显的线性关系,且其线性关系中并不受其它因素的影响。式中

只是一个测量系数,而在此系数中也存在明显的线性关系,其中当管道直径 D 发生改变时,磁感应强度 B 将会呈现出与之相反的变现,如此才能保证测量系数的稳定。在液氮流量计的使用中通?;嵫≡裢ü髡绱鸥杏η慷?B 来维持励磁电流的稳定,但若是使用线性恒流源进行励磁电流的?;な毙枰⒁?,此时的线性恒流源不能轻易更改其电流的大小。
上述的式子可以简单的表示液氮流量计工作原理,电磁感应原理的基本工作状态,但针对具体的电磁变化情况,上述式子无法完全诠释,实际的电磁变化情况远比式中分析的电磁远动复杂[。液氮流量计在工作的过程中并非只利用了电磁感应原理,还利用到了较多的数学公式,除此之外还有流体力学的参与,因此液氮流量计的工作原理十分繁琐复杂,但在本文的研究中主要以其硬件的设计和开发为主,为了能更直观便捷的了解到液氮流量计的工作原理,将其进行简化,在此种简化的基础上,上述式子中的工作原理便可成立。

