产品目录
液体涡轮流量计
液体流量计
水流量计
油流量计
气体涡轮流量计
椭圆齿轮流量计
电磁流量计
涡街流量计
蒸汽流量计
孔板流量计
旋进旋涡流量计
热式气体质量流量计
转子流量计
浮子流量计
靶式流量计
气体流量计
超声波流量计
磁翻板液位计
浮子液位计
浮球液位计
玻璃管液位计
雷达液位计
超声波液位计
投入式液位计
压力变送器
差压变送器
液位变送器
温度变送器
热电偶
热电阻
双金属温度计
推荐产品
联系我们
- 金湖凯铭仪表有限公司
- 联系电话:15195518515
- 在线客服:1464856260
- 电话:0517-86801009
- 传真号码:0517-86801007
- 邮箱:1464856260@qq.com
- 网址:http://www.bhdmvez.cn
- 地址:江苏省金湖县理士大道61号
注水流量计传感器检测原理及权函数仿真与分析
发布时间:2021-01-04 08:32:04??点击次数:2525次
摘要:在非理想流场条件下,异径注水流量计传感器将产生较大的测量误差。提高传感器权函数分布均匀度,有助于提高传感器的非理想流场测量性能。因此,需要开展传感器权函数分布规律的研究。基于有限元软件COMSOL,分析了4种异径注水流量计传感器权函数的均匀度,结果表明:矩形异径传感器的权函数*均匀。建立矩形异径注水流量计传感器三维模型,研究权函数与矩形段长宽高的分布规律,结果表明:矩形段高度对权函数均匀性的影响*大,宽度稍小,长度影响*小。矩形段的高度和宽度越小,权函数分布越均匀,测量结果受非理想流场的影响越小。
引言
异径注水流量计传感器由于安装空间狭小、前后没有理想直管段,管道内被测流场通常是非理想流场,将导致测量值与真实值存在较大偏差、影响计量精度。为提高非理想流场的测量性能,需要研究合适的异径截面形状和尺寸,以提高传感器内权函数分布的均匀度。然而国内外相关的研究较少。ShercliffJA和BevirMK等人*次提出和深化了注水流量计的权函数理论。卫开夏等人利用ANSYS有限元软件求解非满管注水流量计的权函数分布??琢罡坏热耸褂肕ATLAB软件中的PDE工具箱对权函数进行有限元求解。王月明等人基于ANSYS对含有非导电物质时的注水流量计进行有限元分析。李雪菁采用COMSOLMultiphysics有限元软件求解非绝缘管注水流量计的权函数分布。王经卓等人基于COMSOL软件,利用流体像素的方法求解注水流量计权函数的分布。上述文献主要针对圆管注水流量计传感器点电*的二维权函数进行分析,其研究结果与实际三维情况存在偏差。同时,尚未有人针对异径注水流量计传感器三维权函数的分布规律进行研究。由于无可参考的非理想流场测量工况的理论依据,研发人员无法确定究竟何种异径截面有助于提高权函数均匀度,也无法确定哪一种尺寸有助于提高权函数均匀度。针对这一问题,本文从理论上研究权函数与耦合电动势关系,确定提高权函数分布均匀度有助于非理想流场测量。通过COMSOL软件采用电场模拟法,分析4种不同异径截面注水流量计传感器的权函数分布均匀度,确定较优的异径截面形状。针对优选异径截面形状的圆电*注水流量计传感器,研究权函数分布均匀度与异径段长宽高之间的规律。所得结论为异径注水流量计传感器的测量管结构尺寸设计提供了一定的参考,也为提高异径注水流量计传感器的非理想流场测量性能提供了理论依据。
1、注水流量计传感器检测原理
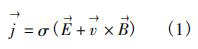
当导电性液体在磁场中作切割磁力线运动时,液体中有感应电流产生。假定液体的电导率δ是均匀、各向同性的,则欧姆定律的普遍公式写作

式中j→为电流密度矢量,为通过液体单位面积的电流,A/m2;E→为电场强度矢量,V/m;v→为流体速度,m/s;B→为磁感应强度,T。当激励电流角频率ω不大时,流体中的位移电流完全可以忽略,即

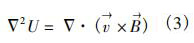
将式(2)带入式(1)得注水流量计传感器的基本测量方程

式中U为感应电动势,V;2为拉普拉斯算子;为哈密顿算子。
通常借助Green函数G来求解微分方程(3),G满足Laplace方程

根据传感器的管道形状和电绝缘边界条件,建立了完整形式的注水流量计传感器基本方程

式中V为注水流量计传感器测量空间;W→为权函数。在直角坐标系(x,y,z)中,式(5)可以转换为

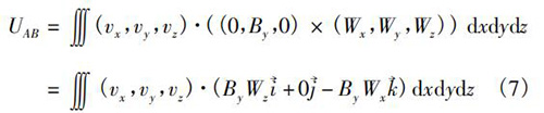
若磁感应强度在传感器有效工作区间内分布均匀,则磁感应强度B=By,Bx=Bz=0,式(6)可以化为

当流速为轴向流时,即v=-vz,vx=vy=0;则式(7)表示为

同时,若传感器内的权函数分布均匀,Wx=W,则式(8)变为

传感器内的权函数分布均匀时,感应电动势大小只与流速积分值成正比,不依赖于流型的分布,有利于非理想流场的精确测量。
2权函数仿真与分析
注水流量计传感器内的流体微元切割磁力线产生感应的电势和电位,相当于一个个微小的“电源”。某一点的权函数应为该点微元作为“电源”所产生的电位梯度与电*间电位差之比。所以,可以采用电场模拟法测定权函数:传感器空间内充满导电液体(一般为水),在电*处施加一定的电压,便会在导电介质中形成一个电场,测得各点的电场强度,并除以中心点的电场强度,即得到归一化后的权函数值,将其绘制成等值线图便可得到权函数分布图。
2.1仿真方法
基于电场模拟法,选择COMSOLMultiphysics有限元仿真软件求解权函数步骤如下:
1)使用AC/DC??橹械牡缌饔τ贸绦蚰J?,圆管半径为32mm,点电*半径0.4mm,仿真模型为二维模型;
2)电*材质设置为金属铜,导电液体为水,电导率为1×10-4S/m;
3)测量管具有绝缘衬里,满足电绝缘边界条件n→×j→=0,左右电*分别施加1,-1V的电压;
4)划分四边形网格,为了保证仿真结果的精确度,选择*细化网格;
5)使用稳态求解器进行计算,得到各点处的电场强度,并除以中心点处的电场强度,得到归一化后的权函数值。
2.2结果分析
2.2.1不同异径面的影响
为考察不同异径截面权函数分布的均匀性,使用上述方法对圆形、正方形、八边形和矩形异径截面的权函数分布进行定性分析。为了便于对比,设置管道口径为DN100,异径部分截面积为3200mm2。所以,圆形异径面半径为32mm,正方形异径面边长为56.6mm,八边形异径面边长为25.8mm,矩形异径面长宽为80×40mm。仿真结果如图1所示,为了便于对比,权函数等势线大小从0开始,以0.25为步长递增到30。由图1(a)~图1(d)可知,矩形异径截面的权函数等势线间距*大,即权函数变化梯度*小,权函数分布*均匀。

为了客观评价不同异径截面内权函数分布的均匀程度,采用整体均匀度来定量衡量权函数的均匀性,设电*截面内每个节点的权函数值为 Wk,相应截面的权函数平均值为 W0,则电*截面内权函数的整体均匀度 R 为

通过式( 10) 计算得到圆形、正方形、八边形、矩形 4 种
不同异径截面权函数分布的整体均匀度分别为 1. 811 2, 1. 996 9,1. 915 0,1. 563 9。
综上所述,矩形异径结构的权函数分布*均匀,所以,异径注水流量计传感器采用矩形异径的管道结构,该结构权函数分布比较均匀,能够减少非理想流场引入的测量误差。在实际生产实践过程中,权函数分布与矩形段长 L、宽 D、 高 H 有关,因此,开展了矩形异径圆电*注水流量计传感器的三维权函数建模分析,*终得到一种权函数分布比较均匀的结构尺寸。
2. 2. 2 三维权函数分布
使用 Pro /E 软件建立三维几何模型,导入 COMSOL 软件进行有限元求解。仿真模型如图 2 所示,电*连线为x 轴,连线中点为坐标原点,流体运动方向为 z 轴,传感器管道口径为 DN100,总长250 mm。异径管部分初始结构尺寸 L = 80 mm,D = 80 mm,H = 40 mm,圆形电*半径为17 mm,伸出绝缘衬里的*大距离为 1. 5 mm。
1) 长度的影响

*先分析一定 D × H 条件下,L 变化时传感器内的权函数分布情况。由于传感器异径管部分高度 H 越小信号越强,但压损也越大,因此,H 设置为 30 ~ 50 mm; 异径管宽度 D 越大压损越小,但宽度越大传感器体积也越大,所以, D 设置为 60 ~ 90 mm; 异径管段上下需要放置激励线圈,同时异径段前后需要有一定长度的过渡段来稳定流型,因此, L 设置为 60 ~ 120 mm。一共分析了 6 组 D × H 尺寸的传感器权函数分布随 L 的变化情况,如表 2 所示。由于电*截面内的权函数分布对感应电动势影响*大,因 此,利 用式( 10) 计算电*截面 xy 平面内的权函数整体均匀度 R。定义相同 D × H 条件下,权函数均匀度随 L 变化的波动率为 ML,如下

计算多组相同 D × H、不同 L 时 xy 平面的权函数整体均匀度 R 及波动率 ML,如表 1 所示。

通过表 1 分析可知,随着 L 的变化,权函数波动率ML≤ ±2. 5 % ,所以 xy 平面内的权函数整体均匀度变化较小,即长度 L 对电*截面内的权函数分布影响很小。
2) 宽度和高度的影响
通过上述分析可知,L 对传感器内的权函数分布影响很小,因此固定设置 L 为 80 mm。然后分析异径段 D,H 同时变化时的权函数分布情况。由上节可知,矩形异径截面的 D 设置为 60 ~ 90 mm,H 设置为 30 ~ 50 mm。为了便于分析三维权函数与 D,H 的变化关系,设置 H 与 D 变化步长都是 10 mm,因此,H 变化范围为 30 ~ 60 mm,即 D = { 60,70, 80,90 mm} ,H = { 30,40,50,60 mm} ,一共 16 组异径注水流量计传感器结构。
分别对上述结构进行有限元分析,根据式( 10) 计算 xy平面内权函数整体均匀度 R,根据式( 11) 计算权函数随 H变化的波动率 MH,随 D 变化的波动率 MD,结果如表 2 所 示。

根据表 1 和表 2 权函数均匀度的波动率数值可以看出,MH > MD > ML,所以,矩形段 L,D,H 对于权函数均匀度的影响程度是依次增强的,高度 H 对权函数均匀度影响*大,宽度 D 影响稍小,长度 L 影响很小。且 D 和 H 越小,权函数整体均匀度 R 越小,权函数分布越均匀。
为了更加全面地比较权函数在三维空间的分布情况,从上述结构中选取 D × H = { 90 × 30,60 × 30,60 × 60} 三组典型结构,分析其权函数在 xy,xz,yz 三个平面内的分布情况。为了便于对比,统一规定三个平面内等势线的分布步长和数值范围: 1) xy,xz 平面内的权函数等势线大小以0. 25为步长,从 0 增加到 30; 2) 由于 yz 平面的权函数小于1,规定 yz 平面内的权函数等势线大小以 0. 05 为步长,从 0增加到 1。具体如图 3 ~ 图 5 所示

通过对图 3 ~ 图 5 分析得出以下结论: 1) 图 3( a) 、图 4( a) 的 xy 面权函数分布表明,D = 90 mm时中心区域的权函数等势线间距较大,即权函数变化梯度较小,且中心区域的权函数等势线逐渐变为直线,因此中心区域的权函数分布更均匀; 但 D = 90 mm 时,电*附近的权函数等势线较密,且等势线颜色较深,权函数*大值较大,变化梯度较大,所以,电*附近的权函数分布均匀性较差。因为难以直接衡量 D 改变时,xy 面权函数分布的均匀性。所以,需要利用权函数整体均匀度 R 定量确定 xy 平面内权函数分布的均匀性。结果表明,随着宽度 D 的减小,权函数分布越来越均匀。
2) 图 4( a) 、图 5( a) 的 xy 面权函数分布表明,H = 30 mm时中心区域的权函数等势线间距较大,且中心区域的权函数等势线逐渐变为直线; 电*附近的权函数等势线比较稀疏,且等势线颜色较浅,权函数*大值较小,变化梯度小,因 此,H = 30 mm 时 xy 面的权函数分布更加均匀。

3) 图 3( b) ~ 5( b) 的 xz 面权函数分布表明,三组异径结构的权函数分布情况类似,没有明显的区别,即 D 和 H的变化对 xz 面的权函数分布影响较小。
4) 图 3( c) 、图 4( c) 的 yz 面权函数分布表明,D = 90 mm时的权函数等势线间距略大于 D = 60 mm 时的权函数等势线间距,权函数变化梯度较小,且中心区域的权函数等势线逐渐变为直线,因此 D = 90 mm 的权函数分布更均匀一些,但是两者区别很小,即宽度改变对 yz 面权函数分布影响很小。图 4( c) 、图 5( c) 的 yz 面权函数分布表明,H = 30 mm时的权函数等势线间距较大,且中心区域的权函数等势线逐渐变为直线,因此 H = 30 mm 的权函数分布更加均匀;
5) 图 3( a) ~ 5( a) 和图 3( b) ~ 5( b) 权函数分布结果表明,越靠近电*,等势线颜色越深,即权函数值越大,且越靠近电*,权函数等势线越密集,即权函数变化梯度越大。

综上所述,异径电磁水表异径段长度 L 对权函数分布的均匀性影响很小,随着长度 L 的改变,权函数分布基本没有变化; 异径段高度 H 对权函数分布的均匀性影响*大,宽度 D 影响稍小,高度和宽度越小,权函数分布越均匀,即异径注水流量计传感器的测量精确度受非理想流场的影响越小。
3 结 论
1) 圆形、正方形、八边形和矩形等 4 种异径注水流量计传感器的权函数分析结果表明,矩形异径截面传感器的权函数分布*均匀。
2) 电*附近区域,权函数值较大,且权函数变化梯度较大,随着远离电*,权函数值越来越小,且权函数变化梯度越来越小。
3) 矩形段高度 H 对权函数分布的均匀性影响*大,随 着 H 的减小,权函数分布越来越均匀,且 y 轴权函数的分布逐渐趋近于常数 1。矩形段宽度 D 对权函数分布的均匀性影响稍小,随着 D 的减小,权函数分布越来越均匀。矩形段长度 L 对传感器内的权函数分布影响很小,随着 L 的改变,权函数分布没有明显变化。
引言
异径注水流量计传感器由于安装空间狭小、前后没有理想直管段,管道内被测流场通常是非理想流场,将导致测量值与真实值存在较大偏差、影响计量精度。为提高非理想流场的测量性能,需要研究合适的异径截面形状和尺寸,以提高传感器内权函数分布的均匀度。然而国内外相关的研究较少。ShercliffJA和BevirMK等人*次提出和深化了注水流量计的权函数理论。卫开夏等人利用ANSYS有限元软件求解非满管注水流量计的权函数分布??琢罡坏热耸褂肕ATLAB软件中的PDE工具箱对权函数进行有限元求解。王月明等人基于ANSYS对含有非导电物质时的注水流量计进行有限元分析。李雪菁采用COMSOLMultiphysics有限元软件求解非绝缘管注水流量计的权函数分布。王经卓等人基于COMSOL软件,利用流体像素的方法求解注水流量计权函数的分布。上述文献主要针对圆管注水流量计传感器点电*的二维权函数进行分析,其研究结果与实际三维情况存在偏差。同时,尚未有人针对异径注水流量计传感器三维权函数的分布规律进行研究。由于无可参考的非理想流场测量工况的理论依据,研发人员无法确定究竟何种异径截面有助于提高权函数均匀度,也无法确定哪一种尺寸有助于提高权函数均匀度。针对这一问题,本文从理论上研究权函数与耦合电动势关系,确定提高权函数分布均匀度有助于非理想流场测量。通过COMSOL软件采用电场模拟法,分析4种不同异径截面注水流量计传感器的权函数分布均匀度,确定较优的异径截面形状。针对优选异径截面形状的圆电*注水流量计传感器,研究权函数分布均匀度与异径段长宽高之间的规律。所得结论为异径注水流量计传感器的测量管结构尺寸设计提供了一定的参考,也为提高异径注水流量计传感器的非理想流场测量性能提供了理论依据。
1、注水流量计传感器检测原理
当导电性液体在磁场中作切割磁力线运动时,液体中有感应电流产生。假定液体的电导率δ是均匀、各向同性的,则欧姆定律的普遍公式写作

式中j→为电流密度矢量,为通过液体单位面积的电流,A/m2;E→为电场强度矢量,V/m;v→为流体速度,m/s;B→为磁感应强度,T。当激励电流角频率ω不大时,流体中的位移电流完全可以忽略,即

将式(2)带入式(1)得注水流量计传感器的基本测量方程

式中U为感应电动势,V;2为拉普拉斯算子;为哈密顿算子。
通常借助Green函数G来求解微分方程(3),G满足Laplace方程

根据传感器的管道形状和电绝缘边界条件,建立了完整形式的注水流量计传感器基本方程

式中V为注水流量计传感器测量空间;W→为权函数。在直角坐标系(x,y,z)中,式(5)可以转换为

若磁感应强度在传感器有效工作区间内分布均匀,则磁感应强度B=By,Bx=Bz=0,式(6)可以化为

当流速为轴向流时,即v=-vz,vx=vy=0;则式(7)表示为

同时,若传感器内的权函数分布均匀,Wx=W,则式(8)变为

传感器内的权函数分布均匀时,感应电动势大小只与流速积分值成正比,不依赖于流型的分布,有利于非理想流场的精确测量。
2权函数仿真与分析
注水流量计传感器内的流体微元切割磁力线产生感应的电势和电位,相当于一个个微小的“电源”。某一点的权函数应为该点微元作为“电源”所产生的电位梯度与电*间电位差之比。所以,可以采用电场模拟法测定权函数:传感器空间内充满导电液体(一般为水),在电*处施加一定的电压,便会在导电介质中形成一个电场,测得各点的电场强度,并除以中心点的电场强度,即得到归一化后的权函数值,将其绘制成等值线图便可得到权函数分布图。
2.1仿真方法
基于电场模拟法,选择COMSOLMultiphysics有限元仿真软件求解权函数步骤如下:
1)使用AC/DC??橹械牡缌饔τ贸绦蚰J?,圆管半径为32mm,点电*半径0.4mm,仿真模型为二维模型;
2)电*材质设置为金属铜,导电液体为水,电导率为1×10-4S/m;
3)测量管具有绝缘衬里,满足电绝缘边界条件n→×j→=0,左右电*分别施加1,-1V的电压;
4)划分四边形网格,为了保证仿真结果的精确度,选择*细化网格;
5)使用稳态求解器进行计算,得到各点处的电场强度,并除以中心点处的电场强度,得到归一化后的权函数值。
2.2结果分析
2.2.1不同异径面的影响
为考察不同异径截面权函数分布的均匀性,使用上述方法对圆形、正方形、八边形和矩形异径截面的权函数分布进行定性分析。为了便于对比,设置管道口径为DN100,异径部分截面积为3200mm2。所以,圆形异径面半径为32mm,正方形异径面边长为56.6mm,八边形异径面边长为25.8mm,矩形异径面长宽为80×40mm。仿真结果如图1所示,为了便于对比,权函数等势线大小从0开始,以0.25为步长递增到30。由图1(a)~图1(d)可知,矩形异径截面的权函数等势线间距*大,即权函数变化梯度*小,权函数分布*均匀。

为了客观评价不同异径截面内权函数分布的均匀程度,采用整体均匀度来定量衡量权函数的均匀性,设电*截面内每个节点的权函数值为 Wk,相应截面的权函数平均值为 W0,则电*截面内权函数的整体均匀度 R 为

通过式( 10) 计算得到圆形、正方形、八边形、矩形 4 种
不同异径截面权函数分布的整体均匀度分别为 1. 811 2, 1. 996 9,1. 915 0,1. 563 9。
综上所述,矩形异径结构的权函数分布*均匀,所以,异径注水流量计传感器采用矩形异径的管道结构,该结构权函数分布比较均匀,能够减少非理想流场引入的测量误差。在实际生产实践过程中,权函数分布与矩形段长 L、宽 D、 高 H 有关,因此,开展了矩形异径圆电*注水流量计传感器的三维权函数建模分析,*终得到一种权函数分布比较均匀的结构尺寸。
2. 2. 2 三维权函数分布
使用 Pro /E 软件建立三维几何模型,导入 COMSOL 软件进行有限元求解。仿真模型如图 2 所示,电*连线为x 轴,连线中点为坐标原点,流体运动方向为 z 轴,传感器管道口径为 DN100,总长250 mm。异径管部分初始结构尺寸 L = 80 mm,D = 80 mm,H = 40 mm,圆形电*半径为17 mm,伸出绝缘衬里的*大距离为 1. 5 mm。
1) 长度的影响

*先分析一定 D × H 条件下,L 变化时传感器内的权函数分布情况。由于传感器异径管部分高度 H 越小信号越强,但压损也越大,因此,H 设置为 30 ~ 50 mm; 异径管宽度 D 越大压损越小,但宽度越大传感器体积也越大,所以, D 设置为 60 ~ 90 mm; 异径管段上下需要放置激励线圈,同时异径段前后需要有一定长度的过渡段来稳定流型,因此, L 设置为 60 ~ 120 mm。一共分析了 6 组 D × H 尺寸的传感器权函数分布随 L 的变化情况,如表 2 所示。由于电*截面内的权函数分布对感应电动势影响*大,因 此,利 用式( 10) 计算电*截面 xy 平面内的权函数整体均匀度 R。定义相同 D × H 条件下,权函数均匀度随 L 变化的波动率为 ML,如下

计算多组相同 D × H、不同 L 时 xy 平面的权函数整体均匀度 R 及波动率 ML,如表 1 所示。

通过表 1 分析可知,随着 L 的变化,权函数波动率ML≤ ±2. 5 % ,所以 xy 平面内的权函数整体均匀度变化较小,即长度 L 对电*截面内的权函数分布影响很小。
2) 宽度和高度的影响
通过上述分析可知,L 对传感器内的权函数分布影响很小,因此固定设置 L 为 80 mm。然后分析异径段 D,H 同时变化时的权函数分布情况。由上节可知,矩形异径截面的 D 设置为 60 ~ 90 mm,H 设置为 30 ~ 50 mm。为了便于分析三维权函数与 D,H 的变化关系,设置 H 与 D 变化步长都是 10 mm,因此,H 变化范围为 30 ~ 60 mm,即 D = { 60,70, 80,90 mm} ,H = { 30,40,50,60 mm} ,一共 16 组异径注水流量计传感器结构。
分别对上述结构进行有限元分析,根据式( 10) 计算 xy平面内权函数整体均匀度 R,根据式( 11) 计算权函数随 H变化的波动率 MH,随 D 变化的波动率 MD,结果如表 2 所 示。

根据表 1 和表 2 权函数均匀度的波动率数值可以看出,MH > MD > ML,所以,矩形段 L,D,H 对于权函数均匀度的影响程度是依次增强的,高度 H 对权函数均匀度影响*大,宽度 D 影响稍小,长度 L 影响很小。且 D 和 H 越小,权函数整体均匀度 R 越小,权函数分布越均匀。
为了更加全面地比较权函数在三维空间的分布情况,从上述结构中选取 D × H = { 90 × 30,60 × 30,60 × 60} 三组典型结构,分析其权函数在 xy,xz,yz 三个平面内的分布情况。为了便于对比,统一规定三个平面内等势线的分布步长和数值范围: 1) xy,xz 平面内的权函数等势线大小以0. 25为步长,从 0 增加到 30; 2) 由于 yz 平面的权函数小于1,规定 yz 平面内的权函数等势线大小以 0. 05 为步长,从 0增加到 1。具体如图 3 ~ 图 5 所示

通过对图 3 ~ 图 5 分析得出以下结论: 1) 图 3( a) 、图 4( a) 的 xy 面权函数分布表明,D = 90 mm时中心区域的权函数等势线间距较大,即权函数变化梯度较小,且中心区域的权函数等势线逐渐变为直线,因此中心区域的权函数分布更均匀; 但 D = 90 mm 时,电*附近的权函数等势线较密,且等势线颜色较深,权函数*大值较大,变化梯度较大,所以,电*附近的权函数分布均匀性较差。因为难以直接衡量 D 改变时,xy 面权函数分布的均匀性。所以,需要利用权函数整体均匀度 R 定量确定 xy 平面内权函数分布的均匀性。结果表明,随着宽度 D 的减小,权函数分布越来越均匀。
2) 图 4( a) 、图 5( a) 的 xy 面权函数分布表明,H = 30 mm时中心区域的权函数等势线间距较大,且中心区域的权函数等势线逐渐变为直线; 电*附近的权函数等势线比较稀疏,且等势线颜色较浅,权函数*大值较小,变化梯度小,因 此,H = 30 mm 时 xy 面的权函数分布更加均匀。

3) 图 3( b) ~ 5( b) 的 xz 面权函数分布表明,三组异径结构的权函数分布情况类似,没有明显的区别,即 D 和 H的变化对 xz 面的权函数分布影响较小。
4) 图 3( c) 、图 4( c) 的 yz 面权函数分布表明,D = 90 mm时的权函数等势线间距略大于 D = 60 mm 时的权函数等势线间距,权函数变化梯度较小,且中心区域的权函数等势线逐渐变为直线,因此 D = 90 mm 的权函数分布更均匀一些,但是两者区别很小,即宽度改变对 yz 面权函数分布影响很小。图 4( c) 、图 5( c) 的 yz 面权函数分布表明,H = 30 mm时的权函数等势线间距较大,且中心区域的权函数等势线逐渐变为直线,因此 H = 30 mm 的权函数分布更加均匀;
5) 图 3( a) ~ 5( a) 和图 3( b) ~ 5( b) 权函数分布结果表明,越靠近电*,等势线颜色越深,即权函数值越大,且越靠近电*,权函数等势线越密集,即权函数变化梯度越大。

综上所述,异径电磁水表异径段长度 L 对权函数分布的均匀性影响很小,随着长度 L 的改变,权函数分布基本没有变化; 异径段高度 H 对权函数分布的均匀性影响*大,宽度 D 影响稍小,高度和宽度越小,权函数分布越均匀,即异径注水流量计传感器的测量精确度受非理想流场的影响越小。
3 结 论
1) 圆形、正方形、八边形和矩形等 4 种异径注水流量计传感器的权函数分析结果表明,矩形异径截面传感器的权函数分布*均匀。
2) 电*附近区域,权函数值较大,且权函数变化梯度较大,随着远离电*,权函数值越来越小,且权函数变化梯度越来越小。
3) 矩形段高度 H 对权函数分布的均匀性影响*大,随 着 H 的减小,权函数分布越来越均匀,且 y 轴权函数的分布逐渐趋近于常数 1。矩形段宽度 D 对权函数分布的均匀性影响稍小,随着 D 的减小,权函数分布越来越均匀。矩形段长度 L 对传感器内的权函数分布影响很小,随着 L 的改变,权函数分布没有明显变化。

